Шпонирование деревянной основы, еще называют фанерованием. Шпонирование, как собственно говоря, фанерование, подразумевает под собой приклеивание тонких пластин дерева, шпона, на деревянную основу. Основа это столы, двери, шкафы, стены и прочие деревянные поверхности. Более подробно, о том, какие виды фанерования существуют, зачем это делать и как производить шпонирование своими руками, расскажем в статье.
Для чего шпонируют
мебель
Шпон — это тонкая
пластина древесины, как правило, ценных
пород. Используют шпон, для того, чтобы
обычное, недорогое дерево, стало по всем
внешним признакам, ценной, дорогой
породой.
Вследствие этого, цена на шпонированную мебель, в разы ниже, чем на массив дерева ценных пород. А внешний вид практически ничем не уступает второму.
Кроме выгоды в
стоимости, использование шпона, дает
широкие возможности для дизайна. Им же
можно обклеить старую мебель, тем самым
вдохнуть в нее вторую жизнь.
Какие бывают виды
шпонирования
Основными видами
шпонирования или фанерования, являются
три вида. А именно, горячее, холодное и
мембранное шпонирование.
Самым доступным методом, для домашнего использования, является метод горячего шпонирования. Тут шпон приклеивается к основе клеящим составом.
Остальные
два вида шпонирования -холодное и
мембранное, требует специальных станков
и других производственных мощностей.
Так, холодное шпонирование это прессование
шпона к основе. Для этого используются
прессовальные аппараты или винтовые
ваймы.
Мембранное шпонирование производится на сложных рельефных поверхностях. И базируется на вакуумном соединении гладких и рельефных плит и шпона
Процесс шпонирования
своими руками
Как мы уже говорили
ранее, самым доступным способом, для
домашнего использования, является
горячее фанерование. Для работы вам
понадобятся следующие основные материалы
и инструменты из списка:
- Основа для шпонирования
- Шпон из дерева
- Нож фанерный
- ПВА клей
- Чистый лист бумаги
- Валик или деревянный брусок, для затирки шпона
- Наждачка
- Утюг, чем тяжелее, тем лучше
- Резак
Подготовительные
работы
Прежде, чем
приступить к шпонированию, нужно, в
первую очередь, подготовить шпон. Шпон
натурального происхождения, часто
скручивают в рулон. Шпон, также может
быть покоробленным и так далее.
Чтобы придать шпону правильное положение, смочите его увлажненной водой, губкой, и положите между двумя листами фанеры. А чтобы ушла лишняя влага, проложите между фанерой и шпоном, с обеих сторон шпона, упаковочную бумагу.
Чаще всего, для
отделки мебели применяют строганный
шпон. Это узкие, но длинные листы. Ширина
строганного шпона, как правило, не шире
30 сантиметров.
Поэтому, после выравнивания и удаления лишней влаги с поверхности шпона, нарезаем листы, необходимой длины. Если, для примера, вы хотите обклеить стол, то шпон должен слегка выступать ха края основы. Лишнее, по окончании процесса шпонирования, можно будет срезать или зашкурить.
Кстати, не режьте
шпон ножом или ножницами. Шпон может
растрескаться и режется от неровно
этими приспособлениями. Для резки шпона
используйте фанерный нож или строгальный
станок.
Склеивание шпона
и основы
Клей ПВА наносим на шпон и на основу. На основе промазываем участок основы. Лучше всего, клеем промазывать дважды. Первый слой клея сушим почти до полного высыхания, чтобы клей практически перестал липнуть. Второй слой просушиваем до отлипа.
Следующим этапом, разогреваем утюг до 50 градусов. Это, примерно, средняя температура на утюга. И через лист белой бумаги утюжим шпон. После прохода утюгом, сразу же начинаем притирать валиком или бруском, шпон и основу.
Дорогостоящие сорта лесоматериалов являются прекрасным сырьем для создания предметов мебели, однако не все люди могут себе позволить такую дорогую продукцию. С целью экономии ценных пород древесины и снижения стоимости конечного продукта и был придуман шпон. Этот материал сегодня крайне популярен для облицовки мебели. Шпон на 100% повторяет узор, текстуру и оттенок натуральной древесины.
Для создания шпона на производствах пользуются специальными станками. Шпон бывает:
- лущеный
- строганый
- пиленый.
Соответственно и станок для производства шпона бывает трех типов.
Лущильный станок для производства шпона
Для реализации лущения шпона сырье необходимо предварительно обработать паром для того, чтобы увеличить пластичность. После этого кряжи подаются на окорочный станок, где с заготовки удаляется кора, а вместе с ней грязь и песок, которые часто становятся причиной быстрого затупления лущильных ножей.
При помощи пилы кряжи раскраивают на чураки определенной длины. Чурак нужно предварительно оцилиндровать, после чего можно приступать к лущению. Лента шпона, которая выходит из лущильного станка, кладется на конвейер, подающий ее к ножницам. Ножницы режут шпон на листы необходимого формата.
По конвейеру шпон укладывается в пачку, которая выносится из-под ножниц и при помощи электрического погрузчика доставляется в сушилку. Сушат продукцию в роликовой сушилке, далее на конвейере его сортируют и складывают по сортам в пачки. Дефектные листы можно склеить.
Если на листах имеются сучки, их отправляют на шпонопочиночный станок, где удаляют изъяны и декорируют их вставками из шпона.
Такой станок для шпона позволяет получить листовой материал толщиной от 1,5 до 5 мм из разнообразных сортов лесоматериалов. На большинстве станков имеется система, которая позволяет в автоматическом режиме устанавливать бревно для последующей обработки.
Чтобы повысить производительность и удобство работы оператора станки оборудуют гидравлическими подъемниками-центроискателями, которые сами определяют подходящую ось вращения заготовки и совмещают ее с осью вращения центровочных валов.
Лущение пропаренной древесины используется для сосновых, ольховых, березовых лесоматериалов. Из лущеного шпона изготавливают фанеру.
Станок для строгания шпона
Прежде всего, кряжи подвергают поперечному раскрою. Во время этой процедуры кряжи распиливают на отрезки необходимой длины. Все отрезки распиливают вдоль, вследствие чего образуется двухкантный брус. Иногда его распиливают пополам. После этого ванчесы подвергают тепловой обработке в пропарочной камере или автоклаве.
Далее ванчесы нужно острогать на шпонострогальном станке. Строганный шпон сушат в роликовых сушилках, торцуют и пакуют в пачки. В каждом наборе составляется конкретный рисунок. Оттенок и узор древесины должны совпадать в каждом наборе.
Именно по этой причине листы шпона, которые получаются из каждого ванчеса во время строгания, складывают, сушат и пакуют в пачки точно в том порядке, в каком они выходили из строгального станка. Когда строгаются одновременно три ванчеса, шпон из каждого из них складывают в три разные пачки.
Укомплектованную, высушенную, запакованную и перетянутую шпагатом пачку шпона называют кнолем.
Станок для изготовления шпона позволяет создать из дорогостоящих сортов лесоматериалов, которые отличаются необычной текстурой, тонкие листы. Такой материал отлично подходит для фанерования. Методы создания шпона:
- радиальный
- тангенциальный
- радиально-тангенциальный
- тангенциально-торцовый.
Наиболее привлекательным сырьем для создания шпона является дубовая древесина. Такой шпон используют для облицовки рустикальных предметов мебели элитного сегмента.
Кроме дубового шпона в специализированных магазинах можно встретить кленовый, буковый, липовый материал, а также из красного дерева.
Станок для сшивки шпона
Шпон режут на специализированных аппаратах. Он отличается довольно тонкой и хрупкой структурой. Для того, чтобы отделать поверхность шпоном, его необходимо соединить между собой для получения полотна, скатываемого в рулоны. Шпон соединяют двумя способами:
Эти методы одинаково популярны на мебельных производствах. Сшивку шпона осуществляют на станке или ручным способом. Для небольших мастерских разработаны ручные устройства для склейки или сшивки шпона. При помощи особого устройства клеевую или термонить разогревают, и в виде зигзага наносят на основную сторону.
Сегодня станки для сшивки шпона представляют собой небольшие аппараты, функционирующие в автономном режиме. Управление такой машиной осуществляет один специалист. Вся работа на них производится четко, качественно и достаточно быстро.
Ручная сшивка встречается все реже, главным образом, в антикварных, реставрационных и авторских мастерских.
Источник: http://wood-prom.ru/clauses/promyshlennoe-oborudovanie/stanok-dlya-shpona
Как делают фанеру: подготовка бревен, оцилиндровка и лущение, нарезка на листы, сушка в прессе, обрезка, сортировка и складирование
Все фото из статьи
Тема этой статьи — изготовление фанеры. Мы познакомимся с полным циклом ее производства — от окорки древесных стволов, до отгрузки готового материала на склад. Кроме того, мы выясним, можно ли производить фанеру в домашних условиях.
Одна из стадий производства — подача бревен в лущильный станок.
Производственный цикл
Он состоит из нескольких этапов:
На некоторых этапах стоит остановиться чуть подробнее.
Подготовка бревен
Из чего делается фанера при полном цикле производства?
- Из стволов хвойных и лиственных деревьев;
- Из связующего — клеев на основе искусственных смол.
Наиболее типичный материал фанеры — сосна и береза. Несколько реже применяются пихта, лиственница, кедр, ель, тополь, ольха, липа, осина и бук.
Обратите внимание: хвойная и лиственная фанера заметно различается механической прочностью и производится по разным ГОСТ — 3919.1-96 и 3919.2-96 соответственно.
Спиленные и лишенные сучьев бревна окоряются (очищаются от коры) и нарезаются вручную или на торцовочном станке на отрезки одинаковой длины. В зимнее время стволы предварительно выдерживаются в ванне с теплой водой для придания замерзшей древесине необходимой пластичности.
Окорка ствола.
Оцилиндровка и лущение
Как правило, эти две операции выполняются на одном станке. Вначале заготовке придается цилиндрическая форма; затем с нее по сужающейся спирали снимается слой древесины толщиной около миллиметра. Оставшийся черенок в производстве не используется.
Нарезка на листы
Она сопровождается сортировкой материала. Дефектные участки листов вырезаются; полосы небольшой (менее 1,5 м) ширины могут быть использованы для склейки в целый лист.
Нарезка шпона на листы и первичная сортировка.
Затем шпон проходит клеевальцы, где он промазывается связующим.
Справка: в производстве фанеры ФК используется карбамидоформальдегидная смола.
Так называемая техническая фанера ФСФ склеивается фенолформальдегидными смолами, что позволяет отнести это производство к категории вредных.
Сушка в прессе
Для сушки листов используется гидравлический пресс с прогревом плит перегретым паром. Типичная температура сушки около 200 градусов. Продолжительность этой части цикла составляет от 30 минут до 2 часов в зависимости от толщины листа.
Сушка осуществляется при интенсивной принудительной вентиляции помещения: как уже говорилось, формальдегиды отнюдь не полезны для здоровья.
Выгрузка из пресса.
Обрезка
Просушенный лист представляет собой неопрятный сэндвич с неровными кромками. Чтобы превратиться в готовое для продажи изделие, он проходит обрезку на распиловочном станке.
Обратите внимание: согласно требованиям ГОСТ, кромки листа должны быть строго перпендикулярны друг другу.
Косина может составлять не более 2 мм на погонный метр.
Сортировка
Качество фанеры определяется визуально и, в зависимости от внешнего вида поверхности, позволяет отнести ее к одному из сортов — от элитного до четвертого.
К основным дефектам относятся:
- Живые и выпадающие сучки;
- Разошедшиеся и неразошедшиеся трещины;
- Здоровые и болезненные изменения цвета.
Цена листа в зависимости от сорта может различаться в два раза и более.
Особо стоит отметить два факта:
- Для материала сорта Е (Элита) недопустимы даже резкие переходы цвета и существенные изменения структуры поверхностного слоя шпона;
Фото позволяет оценить разницу между элитным и прочими сортами.
- Расслоение шпона сразу отправляет лист в брак вне зависимости от сорта.
Складирование
Установленная вертикально или под наклоном фанерная плита способна деформироваться под собственным весом благодаря текучести связывающих слои шпона смол.
Кроме того: ферментация может изменить цвет верхнего слоя на ярком солнечном свету.
Именно поэтому содержащаяся в отечественных стандартах инструкция по складированию листов предписывает хранить их строго определенным образом:
- в закрытом помещении с постоянной влажностью;
- защищенными от прямых солнечных лучей;
- в горизонтальном положении, уложенными на поддоны или подкладки.
Складирование материала.
Особый случай
Чтобы избежать путаницы в терминологии, стоит объяснить одну тонкость. Вопреки названию, перфорированная фанера не имеет к слоистому материалу из шпона никакого отношения.
Так называется лист ХДФ (древесноволокнистая плита высокой плотности, она же — прессованный оргалит) с проделанными в нем через равные промежутки отверстиями. Материал используется при оформлении витрин, в качестве филенок шкафных и внутренних дверей и т.д.
Перфорированный ХДФ.
Очумелые ручки
Может ли обычная фанера производиться в условиях небольшой частной мастерской? По полному циклу — едва ли, слишком габаритное оборудование требуется для распаривания, окорки стволов и лущения шпона. А вот склеивать шпон в готовые листы в домашних условиях вполне возможно.
Зачем это нужно? Например, для производства так называемой инженерной паркетной доски, состоящей из фанеры ФК с наклеенным на нее слоем шпона из древесины твердых пород.
Самый очевидный способ наладить кустарное производство — купить клеевальцы и пресс, благо оборудование для производства фанеры б у вполне доступно по стоимости. Однако если фанера своими руками будет производиться не на продажу, а исключительно ради ремонта в собственном доме, оно просто не окупится.
План «Б» состоит в холодной склейке шпона с готовым фанерным листом:
Оклейка фанеры шпоном благородных пород.
- И уложенный на ровное основание лист, и тыльная сторона шпона промазываются клеем ПВА;
- Шпон укладывается на поверхность листа и разглаживается;
- Заготовка придавливается листом толстой (22 — 27 мм) фанеры и пригружается весом 300 — 400 кг, максимально равномерно распределенным по всей поверхности.
Полная просушка клея займет около суток. По прошествии этого времени лист нарезается на доски нужного размера на обычной стационарной циркулярке. Затем фрезерный станок или ручной фрезер для дерева с направляющей используется для снятия фаски глубиной около миллиметра.
Внешний вид получившегося материала не уступит покупному паркету.
Обратите внимание: по понятным причинам изготовленный таким образом паркет можно укладывать только на клей.
В отсутствие кликовых замков о плавающей укладке речь не идет.
Заключение
Источник: https://rubankom.com/materialy/proizvodnye/fanera/1917-kak-delayut-faneru
Pereosnastka.ru
Конструкция лущильных станков
К
атегория:
Производство клееной фанеры
Конструкция лущильных станков
Лущильные станки по техническим показателям подразделяют:- по наибольшему расстоянию между центрами шпинделей. Это расстояние определяет максимально возможную длину ножа и длину чураков, подлежащих лущению.
Наиболее распространенными являются станки для лущения чураков длиной 1350, 1650, 1950 мм. Длина чурака определяется размерами листов шпона;
По высоте центров шпинделей над станиной.
Высота центров определяется наибольшим радиусом чурака с припуском 100-150 мм.
Отечественные станки рассчитаны на лущение сырья диаметром 60-70 см. Иностранные фирмы выпускают станки для лущения чураков диаметром более 80 см.
Лущильный станок ЛУ-17-4 состоит из следующих основных частей: станины, двух шпиндельных бабок, суппорта кинематического узла, механизма поджима, центровочно-загрузочного приспособления.
Станина станка служит для крепления всех основных частей станка, восприятия динамических нагрузок резания и вспомогательных операций лущения.
Станина представляет собой жесткую сварную раму из двутавровых балок, на которой установлены чугунные шпиндельные бабки. В раме имеется щель для выброса карандаша вниз на транспортер.
Шпиндельные бабки (правая и левая) служат для закрепления чурака и придают ему вращательное движение.
На рис. 2 показан разрез правой шпиндельной бабки. Шпиндельная бабка имеет два телескопических шпинделя с соответствующими кулачками.
Наличие большого кулачка позволяет избежать раскола чураков в начальный период лущения, а малый кулачок дает возможность лущить карандаш диаметром до 70 мм.
Зажимают чурак на станке следующим образом.
Рис. 1. Станок ЛУ-17-4:
1 — станина, 2 — левая шпиндельная бабка, 3 — центровочно-загрузоч-ное приспособление, 4 — сварная балка, 5 — прижимные ролики, 6 — правая шпиндельная бабка, 7 — механизм прижима чурака, 8 — гидропривод, 9 — пустотелый вал, 10 — чугунная балка, 11 — суппорт, 12 — привод ускоренного перемещения суппорта, 13 — электродвигатель, 14 — механизм подачи чураков
Насос подает масло из гидросистемы в распределитель. Поршень под давлением перемещает шток в большом гидроцилиндре на величину до 150 мм. Шток поршня, жестко связанный с подвижным подшипниковым узлом малого шпинделя, перемещается также на длину гидроцилиндра. На подшипниковом узле малого шпинделя закреплен малый шпиндель. Последний, свободно перемещаясь внутри пустотелого большого шпинделя, кулачком зажимает чурак.
Разрез правой шпиндельной бабки станка ЛУ-17-4:
1 — поршень, 2 — большой гидроцилиндр, 3 — шток поршня, 4 — подвижной подшипниковый узел малого шпинделя, 5 — корпус, 6 — шли-цевая втулка, 7- шпонка шестерни, 8 — шестерня, 9- шпонка звездочки, 10 — звездочка, 11 — гнльза, 12-пустотелый большой шпиндель, 13 — малый кулачок, 14 — большой кулачок, 15 — малый шпиндель, 16 — сферические роликовые подшипники, 17 — шлицевая втулка большого шпинделя, 18 — рычаг, 19 — подвижный подшипниковый узел большого шпинделя, 20 — шлицы, 21 — шпонка, 22 — скользящие шпонки, 23-малый гидроцилиндр, 24 — малый поршень со штоком, 25 — шпилька
Масло одновременно поступает в большой и малый гидроцилиндры. Малый поршень со штоком перемещается в сторону чурака и, действуя на рычаг, смещает подвижный подшипниковый узел большого шпинделя. Величина смещения малого поршня со штоком зависит от размера малого гидроцилиндра и составляет 150 мм. Закрепленный в подвижном подшипниковом узле пустотелый большой шпиндель перемещается на указанную величину и зажимает большим кулачком чурак.
Таким образом, два шпинделя одновременно зажимают чурак закрепленными на них кулачками. Работа левого шпинделя аналогична работе правого.
После зажима чураку придают вращательное движение от главного вала через шестерню. Вращающаяся шестерня через шпонку приводит во вращение гильзу, которая с помощью шлицевой втулки 6 вращает пустотелый большой шпиндель. Большой шпиндель через шлицевую втулку большого шпинделя приводит во вращение малый шпиндель.
Скользящие шпонки предохраняют от вращения подвижные подшипниковые узлы; одновременно они являются направляющими при горизонтальном перемещении этих узлов.
В процессе лущения, когда лущильный нож подходит к вращающемуся кулачку большого шпинделя, гидросистема возвращает большой шпиндель в начальное положение. То же происходит, когда лущильный нож приближается к кулачкам малого шпинделя.
Система подвода масла к гидроцилиндрам для возврата шпинделей в исходное положение была показана на рис. 1.
Подключение гидросистемы к шпиндельным бабкам происходит таким образом, что при подаче масла на поршни большого и малого гидроцилиндров эти поршни возвращаются в исходное положение. Благодаря пустотелой конструкции большого шпинделя и шлицевому соединению двух шпинделей достигается их независимое передвижение относительно друг друга в горизонтальной плоскости.
Благодаря применению шпиндельных бабок стало возможным долущивать чурак диаметром до 70 мм на станке ЛУ-17-4, отказавшись от использования на этой операции малых лущильных станков.
Суппорт лущильного станка предназначен для закрепления ножа, его регулировки, настройки и для придания ему возвратно-поступательного движения (к чураку и обратно).
Суппорт состоит из двух боковых ползунов, перемещающихся по горизонтальным съемным параллелям, расположенным на станине станка; ножевой траверсы — для крепления и регулировки лущильного ножа; траверсы прижимной линейки — для крепления и регулировки прижимной линейки станка; двух суппортных винтов, сообщающих суппорту возвратно-поступательное движение.
Суппорт имеет дополнительные верхние и нижние направляющие, с которыми связана ножевая траверса и при помощи которых изменяется угол резания во время лущения чураков. Прижимная линейка соединена с ножевой траверсой эксцентриковым валом.
Механизм поджима чурака устраняет прогиб чурака в конце лущения под действием сил резания.
Этот механизм состоит из чугунной балки, закрепленной на пустотелом валу, двух пар прижимных роликов, гидроцилиндра перемещения роликов, смонтированного на стальной сварной балке, соединяющей обе бабки станка, а также устройства для регулировки синхронности перемещения ножа и прижимных роликов. Блок прижимных роликов шарнирно соединен с балкой и со штоком гидроцилиндра. Цапфы пустотелого вала установлены в подшипниках, корпуса которых прикреплены к бабкам станка.
Кинематический узел станка служит для связи рабочих органов станка (суппорта и шпиндельных бабок) и придания им рабочих движений.
На рис. 3 приведена кинематическая схема лущильного станка ЛУ-17-4. Сцентрированный и зажатый в шпинделях станка чурак (работа центровочно-загрузочного приспособления будет описана ниже) приводится во вращение от главного вала через шестерни. Главный вал соединен с электродвигателем через клиноременную передачу и электромагнитную муфту.
Кинематическая схема лущильного станка ЛУ-17-4:
1 — главный электродвигатель, 2 и 22 — клиноременная передача, 3 — электромагнитная муфта, 4, 5, 6 — шестерни, 7 — главный вал, 8, 9, 10, 16, 17, 18 — звездочки, 11 — промежуточный вал, 12-правый пустотелый вал, 13 — кулачковая муфта, 14 — передаточный вал, 15 — левый пустотелый вал, 19, 20 — конические шестерни, 21 — суппортный вал, 23 — электродвигатель ускоренного подвода и отвода суппорта, 24 — суппортные винты, 25 — поршни гидроцилиндра следящей системы, 26 — пневмоцилиндры центровки чураков, 27 — механизм подачи чураков, 28 — рукоятка переключения ускоренной и рабочей подачи суппорта, 29 — электромагнит; а, б, в, г — сменные шестерни набора толщин шпона
Левый шпиндель приводится во вращение от главного вата также через шестерни. Шестерня, вращая гильзу правого шпинделя, сообщает вращение звездочке. Звездочка втулочно-роликовой цепью соединена с промежуточным валом через звездочку, жестко закрепленную на промежуточном валу.
Вал приводит во вращение правый пустотелый вал через сменные шестерни а, б, в и г. Через кулачковую муфту, посаженную на скользящую шпонку, вращение с пустотелого вала передается на передаточный вал.
Через звездочку, жестко закрепленную на валу, и втулочно-роли-ковую цепь вращение передается на суппортный вал через звездочку.
Система конических шестерен, приводит в движение суппортные винты, а последние — суппорт, который перемещается по направляющим к вращающемуся чураку. Поступательное движение суппорта осуществляется благодаря суппортным гайкам, жестко связанным с корпусом суппорта.
Величина подачи суппорта за один оборот чурака, т. е.
толщина снимаемого шпона, зависит от расположения сменных шестерен а, б, в и г, так как жесткая связь во всех звеньях кинематической схемы, кроме сменных шестерен а, б, в и г, обеспечивает постоянное передаточное отношение.
Из таблицы видно, что изменение толщины шпона от 0,2 до 3,2 мм достигается в основном сменой шестерни а при взаимном расположении блок-шестерен (б — в) в двух положениях.
К концу лущения, когда диаметр чурака будет приближаться к диаметру малого кулачка шпинделя, рабочая подача суппорта прекращается при переводе кулачковой муфты в нейтральное положение рукояткой. Одно-вРеменно электромагнитную муфту выводят из соединения со шкивом клиноременной передачи и вращение карандаша в шпинделях станка прекращается.
С помощью электромагнитной муфты можно останавливать Движение главного вала, не выключая главного электродвигателя, что целесообразно экономически, так как пусковые моменты при включении электродвига-едя отрицательно сказываются на электроснабжении предприятия.
Гидросистема возвращает шпиндели в исходное положение, а карандаш через щель в станине удаляется транспортером из цеха.
Вращением суппортного вала в обратную сторону по отношению к рабочему движению электродвигателя через клиноременную передачу производится возврат суппорта в исходное положение. Суппорт подают в исходное положение на ускоренной подаче, что дает значительный выигрыш во времени. После этого электродвигатель выключают. В таком положении лущильный станок готов для лущения очередного чурака. Далее операция повторяется, как указано выше.
Кроме рабочей подачи, которая обеспечивает получение шпона заданной толщины, лущильный станок имеет ускоренную подачу, которая применяется в начальный период лущения для снятия больших неровностей на чураке.
Включение ускоренной подачи производится муфтой левого пустотелого вала. Вращение вала через муфту передается валу. Далее вращение передается как при рабочей подаче. Вращение вала 15 осуществляется от пала звездочками и втулочно-роликовой цепью.
В этом случае система сменных шестерен а, б, в иг отключена и в работе участия не принимает.
После окончания обдирки (на ускоренной подаче суппорта) передвигают рукояткой кулачковую муфту, тем самым отключая вал и включая вал. Далее происходит процесс лущения на рабочей подаче. Электромагнит служит для автоматического перевода кулачковой муфты в нейтральное положение.
Рис. 4. Схема устройства центровочно-загрузочного приспособления:
1 — свободно вращающаяся ось, 2- пневматический цилиндр, 3 — рычаг, 4 — груз, 5 — верхняя шестерня, 6 — сектор без зубцов, 7 — клещевые захваты, 8 — двухходовой кран, 9 — нижняя шестерня, 10 — зубчатые сектора
Центровочно-загрузочное приспособление служит для правильной центровки чурака, т. е. сокращения отпада шпона в процессе лущения, и для загрузки чурака в лущильный станок.
На лущильных станках устанавливают, как правило, Центровочно-загрузочное приспособление системы А. Жукова, В. П. Банко и А. А. Порохина. Благодаря этому приспособлению стало возможным одновременно выполнять центровку чурака и подачу его к шпинделям лущильного станка.
Центровочно-загрузочное приспособление состоит из Двух пневматических цилиндров, свободно поворачивающихся на осях, прикрепленных к станине лущильного станка. На выступающих ступицах нижних шестерен укреплены рычаги с разрезными хомутами, что позволяет крепить рычаги на ступице в любом положении. Рычаги шарнирно соединены со штоками поршней пневматических цилиндров.
Подъем и центровка чурака осуществляется поворотом рукоятки двухходового крана. При этом сжатый воздух поступает в пневматические цилиндры. При подъеме поршней штоки поворачивают рычаги, которые при помощи шестерен и зубчатых секторов сводят клещевые захваты до соприкосновения их с поверхностью чурака.
Во время зажима чурака шпинделями происходит его осевое перемещение. Неровности чурака могут несколько разводить губки клещевых захватов за счет компрессии воздуха в цилиндрах, не создавая в звеньях механизма дополнительных усилий.
Скорость сжатия клещевых захватов регулируется степенью открытия воздушного крана.
Разведение клещевых захватов осуществляется под действием грузов, закрепленных на концах рычагов, или пружинами, как показано на рис. 19. Повернув рукоятку двухходового крана, открывают отверстие для выхода воздуха.
Приспособление работает при давлении в сети 4- 4,5 ати. Расход воздуха на один лущильный станок составляет 0,7 м3/ч. Верхние и нижние клещи закреплены на валах с помощью сквозных призматических шпонок в соответствующих положениях по отношению к зубчатым секторам.
Регулирование взаимного положения верхних и нижних клещей, обеспечивающее симметричность их движения (от чего зависит точность центровки), осуществляется при помощи особого устройства. Верхние секторы этого устройства двойные. Сектор без зубцов жестко скреплен с осью верхней клешни, а зубчатый сектор сидит на оси свободно и связан с верхней шестерней. Он может смещаться относительно сектора и жестко скрепляться с ним в нужном положении.
Для повышения точности центровки угол вилок доведен до 90°, нижние вилки жестко соединены с клещами, а верхние оставлены свободно вращающимися в пальцах. Для устранения наезда суппорта на клещи (при неполном их разведении) на станке установлена электрическая автоблокировка.
Кроме перечисленных выше основных частей, лущильный станок имеет также механизм подачи чураков, гидропривод, электрооборудование с автоблокировкой.
Дорогостоящие сорта лесоматериалов являются прекрасным сырьем для создания предметов мебели, однако не все люди могут себе позволить такую дорогую продукцию. С целью экономии ценных пород древесины и снижения стоимости конечного продукта и был придуман шпон. Этот материал сегодня крайне популярен для облицовки мебели. Шпон на 100% повторяет узор, текстуру и оттенок натуральной древесины.
Для создания шпона на производствах пользуются специальными станками. Шпон бывает:
Соответственно и станок для производства шпона бывает трех типов.
Лущильный станок для производства шпона
Для реализации лущения шпона сырье необходимо предварительно обработать паром для того, чтобы увеличить пластичность. После этого кряжи подаются на окорочный станок, где с заготовки удаляется кора, а вместе с ней грязь и песок, которые часто становятся причиной быстрого затупления лущильных ножей. При помощи пилы кряжи раскраивают на чураки определенной длины. Чурак нужно предварительно оцилиндровать, после чего можно приступать к лущению. Лента шпона, которая выходит из лущильного станка, кладется на конвейер, подающий ее к ножницам. Ножницы режут шпон на листы необходимого формата. По конвейеру шпон укладывается в пачку, которая выносится из-под ножниц и при помощи электрического погрузчика доставляется в сушилку. Сушат продукцию в роликовой сушилке, далее на конвейере его сортируют и складывают по сортам в пачки. Дефектные листы можно склеить. Если на листах имеются сучки, их отправляют на шпонопочиночный станок, где удаляют изъяны и декорируют их вставками из шпона.

Чтобы повысить производительность и удобство работы оператора станки оборудуют гидравлическими подъемниками-центроискателями, которые сами определяют подходящую ось вращения заготовки и совмещают ее с осью вращения центровочных валов.
Лущение пропаренной древесины используется для сосновых, ольховых, березовых лесоматериалов. Из лущеного шпона изготавливают фанеру.
Станок для строгания шпона
Прежде всего, кряжи подвергают поперечному раскрою. Во время этой процедуры кряжи распиливают на отрезки необходимой длины. Все отрезки распиливают вдоль, вследствие чего образуется двухкантный брус. Иногда его распиливают пополам. После этого ванчесы подвергают тепловой обработке в пропарочной камере или автоклаве.
Далее ванчесы нужно острогать на шпонострогальном станке. Строганный шпон сушат в роликовых сушилках, торцуют и пакуют в пачки. В каждом наборе составляется конкретный рисунок. Оттенок и узор древесины должны совпадать в каждом наборе. Именно по этой причине листы шпона, которые получаются из каждого ванчеса во время строгания, складывают, сушат и пакуют в пачки точно в том порядке, в каком они выходили из строгального станка. Когда строгаются одновременно три ванчеса, шпон из каждого из них складывают в три разные пачки. Укомплектованную, высушенную, запакованную и перетянутую шпагатом пачку шпона называют кнолем.

- радиальный
- тангенциальный
- радиально-тангенциальный
- тангенциально-торцовый.
Наиболее привлекательным сырьем для создания шпона является дубовая древесина. Такой шпон используют для облицовки рустикальных предметов мебели элитного сегмента.
Кроме дубового шпона в специализированных магазинах можно встретить кленовый, буковый, липовый материал, а также из красного дерева.
Станок для сшивки шпона
Шпон режут на специализированных аппаратах. Он отличается довольно тонкой и хрупкой структурой. Для того, чтобы отделать поверхность шпоном, его необходимо соединить между собой для получения полотна, скатываемого в рулоны. Шпон соединяют двумя способами:
Эти методы одинаково популярны на мебельных производствах. Сшивку шпона осуществляют на станке или ручным способом. Для небольших мастерских разработаны ручные устройства для склейки или сшивки шпона. При помощи особого устройства клеевую или термонить разогревают, и в виде зигзага наносят на основную сторону.

Ручная сшивка встречается все реже, главным образом, в антикварных, реставрационных и авторских мастерских.
Вы можете встроить плеер с данным видео в сайт. Для этого выберите размер плеера и скопируйте полученный код.
Описание
Максимальная толщина шпона 8 мм. , длина до 900 мм, ширина от 30 до 105 мм.Производительность 20 куб.м. за смену. Скорость и толщину дощечек регулирует компьютер.
- img=»»>
Одна из стадий производства — подача бревен в лущильный станок.
Производственный цикл
Он состоит из нескольких этапов:
На некоторых этапах стоит остановиться чуть подробнее.
Подготовка бревен
Из чего делается фанера при полном цикле производства?
- Из стволов хвойных и лиственных деревьев;
- Из связующего — клеев на основе искусственных смол.
Наиболее типичный материал фанеры — сосна и береза. Несколько реже применяются пихта, лиственница, кедр, ель, тополь, ольха, липа, осина и бук.
Обратите внимание: хвойная и лиственная фанера заметно различается механической прочностью и производится по разным ГОСТ — 3919.1-96 и 3919.2-96 соответственно.
Спиленные и лишенные сучьев бревна окоряются (очищаются от коры) и нарезаются вручную или на торцовочном станке на отрезки одинаковой длины. В зимнее время стволы предварительно выдерживаются в ванне с теплой водой для придания замерзшей древесине необходимой пластичности.
Оцилиндровка и лущение
Как правило, эти две операции выполняются на одном станке. Вначале заготовке придается цилиндрическая форма; затем с нее по сужающейся спирали снимается слой древесины толщиной около миллиметра. Оставшийся черенок в производстве не используется.
Нарезка на листы
Она сопровождается сортировкой материала. Дефектные участки листов вырезаются; полосы небольшой (менее 1,5 м) ширины могут быть использованы для склейки в целый лист.
Нарезка шпона на листы и первичная сортировка.
Затем шпон проходит клеевальцы, где он промазывается связующим.
Справка: в производстве фанеры ФК используется карбамидоформальдегидная смола.
Так называемая техническая фанера ФСФ склеивается фенолформальдегидными смолами, что позволяет отнести это производство к категории вредных.Сушка в прессе
Для сушки листов используется гидравлический пресс с прогревом плит перегретым паром. Типичная температура сушки около 200 градусов. Продолжительность этой части цикла составляет от 30 минут до 2 часов в зависимости от толщины листа.
Сушка осуществляется при интенсивной принудительной вентиляции помещения: как уже говорилось, формальдегиды отнюдь не полезны для здоровья.
Выгрузка из пресса.
Обрезка
Просушенный лист представляет собой неопрятный сэндвич с неровными кромками. Чтобы превратиться в готовое для продажи изделие, он проходит обрезку на распиловочном станке.
Обратите внимание: согласно требованиям ГОСТ, кромки листа должны быть строго перпендикулярны друг другу.
Косина может составлять не более 2 мм на погонный метр.Сортировка
Качество фанеры определяется визуально и, в зависимости от внешнего вида поверхности, позволяет отнести ее к одному из сортов — от элитного до четвертого.
К основным дефектам относятся:
- Живые и выпадающие сучки;
- Разошедшиеся и неразошедшиеся трещины;
- Здоровые и болезненные изменения цвета.
Цена листа в зависимости от сорта может различаться в два раза и более.
Особо стоит отметить два факта:
- Для материала сорта Е (Элита) недопустимы даже резкие переходы цвета и существенные изменения структуры поверхностного слоя шпона;
Фото позволяет оценить разницу между элитным и прочими сортами.
- Расслоение шпона сразу отправляет лист в брак вне зависимости от сорта.
Складирование
Установленная вертикально или под наклоном фанерная плита способна деформироваться под собственным весом благодаря текучести связывающих слои шпона смол.
Кроме того: ферментация может изменить цвет верхнего слоя на ярком солнечном свету.
Именно поэтому содержащаяся в отечественных стандартах инструкция по складированию листов предписывает хранить их строго определенным образом:
- в закрытом помещении с постоянной влажностью;
- защищенными от прямых солнечных лучей;
- в горизонтальном положении, уложенными на поддоны или подкладки.
Особый случай
Чтобы избежать путаницы в терминологии, стоит объяснить одну тонкость. Вопреки названию, перфорированная фанера не имеет к слоистому материалу из шпона никакого отношения.
Так называется лист ХДФ (древесноволокнистая плита высокой плотности, она же — прессованный оргалит) с проделанными в нем через равные промежутки отверстиями. Материал используется при оформлении витрин, в качестве филенок шкафных и внутренних дверей и т.д.
Очумелые ручки
Может ли обычная фанера производиться в условиях небольшой частной мастерской? По полному циклу — едва ли, слишком габаритное оборудование требуется для распаривания, окорки стволов и лущения шпона. А вот склеивать шпон в готовые листы в домашних условиях вполне возможно.
Зачем это нужно? Например, для производства так называемой инженерной паркетной доски, состоящей из фанеры ФК с наклеенным на нее слоем шпона из древесины твердых пород.
Самый очевидный способ наладить кустарное производство — купить клеевальцы и пресс, благо оборудование для производства фанеры б у вполне доступно по стоимости. Однако если фанера своими руками будет производиться не на продажу, а исключительно ради ремонта в собственном доме, оно просто не окупится.
План «Б» состоит в холодной склейке шпона с готовым фанерным листом:
Оклейка фанеры шпоном благородных пород.
- И уложенный на ровное основание лист, и тыльная сторона шпона промазываются клеем ПВА;
- Шпон укладывается на поверхность листа и разглаживается;
- Заготовка придавливается листом толстой (22 — 27 мм) фанеры и пригружается весом 300 — 400 кг, максимально равномерно распределенным по всей поверхности.
Полная просушка клея займет около суток. По прошествии этого времени лист нарезается на доски нужного размера на обычной стационарной циркулярке. Затем фрезерный станок или ручной фрезер для дерева с направляющей используется для снятия фаски глубиной около миллиметра.
Обратите внимание: по понятным причинам изготовленный таким образом паркет можно укладывать только на клей.
В отсутствие кликовых замков о плавающей укладке речь не идет.Заключение
Надеемся, что наш материал покажется уважаемому читателю достаточно познавательным. Обсудить его можно в комментариях, а видео в этой статье предложит дополнительную тематическую информацию. Успехов!
Шпон относится к древесным материалам, имеющим вид тонких листов древесины, толщина которых колеблется в пределах 0,5-3,0 мм. Шпон, как правило, наклеивается на деревянные панели или ДВП, придавая таким образом материалу более эстетичный и привлекательный вид.
Схема укладки и разметки шпона.
Разновидности шпона
Шпон подразделяется на различные виды. В зависимости от способа производства, материал делится на:
- лущеный;
- пиленый;
- строганый.
Виды шпона.
В зависимости от внешнего вида, шпон подразделяется на следующие виды:
- Натуральный. Такой материал имеет вид тонких листов натурального цвета и структуры. Главной задачей при производстве такого материала является сохранение натуральности дерева. Достоинствами натурального шпона является его экологичность, сохранение уникальный структуры дерева, привлекательный внешний вид. Изделия, отделанные материалом, схожи с изделиями из массива дерева, однако стоят на порядок ниже, а вес конструкции — меньше.
- Цветной. При изготовлении цветного шпона его поверхность прокрашивается, обрабатывается морилкой. В результате материал отличается широкой гаммой расцветок.
- Файн-лайн. Данный тип материала получается в результате реконструкции лущеного шпона, получаемого из мягких пород древесины. Изначально формируются блоки, из которых в дальнейшем производится шпон различной структуры, рисунка и цвета натурального дерева. Такой способ позволяет имитировать ценные породы дерева при изготовлении материала из более дешевой древесины. В результате шпон имеет более эстетичный вид, а стоит дешевле.
Шпон нашел применение при изготовлении различных конструкций и изделий. Наиболее популярен материал для отделки дверей, мебели, для изготовления фанеры. Также довольно часто применяют в производстве корпуса гитар, при проведении декоративных работ. Кроме того, шпон широко используется в тюнинге автомобилей, для отделки салона.
Стоит заметить, что некоторые производители экономят на качественном клее и лаке, используя недоброкачественные составы. Все это существенно сказывается на экологической чистоте изделия.
Статья по теме:
Стереоскопические обои 3Д, применение для кухни, спальни и других помещений
Способы изготовления шпона
Схема изготовления шпона.
Как было указано выше, шпон по способу изготовления делится на три вида.
Рассмотрим подробнее эти способы производства материала.
- Метод лущения. В данном случае используется специально подготовленная древесина, при вращении которой с помощью специального станка снимается верхний слой. При производстве шпона методом лущения используются мягкие и твердые породы. При такой обработке верхний слой срезается спирально. В результате получаются большие листы шпона, однако рисунок у них не очень четкий и яркий. Поэтому лущеный шпон чаще всего наклеивают на фанеру.
- Метод строгания. При таком способе верхний слой древесины срезается в поперечном или продольном направлении. Делают шпон данного типа только из древесины твердых пород. В результате получается лист материала довольно большой плотности с ярким и красивым рисунком. Поэтому строганый шпон используется в производстве мебели и дверей.
- Метод пиления. В данном случае шпон получают путем отпиливания от подготовленного бревна листов с минимальной толщиной. Материал, полученный данным способом, является самым дорогим, так как при производстве образуется большое количество отходов.
При производстве шпона важно уделить внимание и качеству самой древесины. Дерево должно иметь ровный ствол с минимальным количеством сучков и веток. Подготовленное бревно осматривается специалистом и определяется им на тот или иной способ обработки.
Способов изготовления шпона, основных, существует три и каждый из них, теоретически, можно сделать в домашних условиях.
Метод лущения
Для производства шпона данным способом, используют мягкие и твердые породы. Используется специально подготовленная древесина, при помощи специального станка с древесины снимают верхний слой, он срезается спирально, в результате чего получают большие листы шпона. Минус состоит в том, что рисунок у такого шпона не четкий и не яркий, поэтому его зачастую наклеивают на фанеру.
Метод строгания
Для производства шпона данным способом, используют только твердые породы. С древесины в поперечном или продольном направлении срезают верхний слой, в результате чего получается достаточно плотный лист, а рисунок красивый и яркий. Такой шпон используют для мебели и дверей.
Метод пиления
Для производства шпона данным способом используют бревна от которых отпиливают листы минимальной толщины. При производстве шпона данным способом получается много отходов, поэтому он считается самым дорогим, затратным.
Теоретически, в домашних условиях можно сделать любой из этих видов шпона, вот только какого качества он получится, зависит от Вашего опыта и качества инструмента и древесины.
При постройке моделей часто приходится применять шпон различной толщины. Обычно нужную толщину получают шлифованием с помощью грибка с наклеенной на торце шкуркой, вставленного в патрон сверлильного станка. Такой способ самый доступный, но он имеет ряд недостатков: низкая производительность, невозможность обработать шпон толщиной менее 0,5 мм, поскольку из-за вращения грибка шпон вырывается из рук и ломается, и, наконец, основной недостаток — это большая загрязнённость воздуха древесной пылью. Обработать больше трёх-четырёх пластин не удаётся даже в респираторе.
Всех этих недостатков лишён сконструированный мной шлифовальный станок, работающий по принципу встречного фрезерования. Он был изготовлен (за исключением сварочных работ) в условиях авиамодельной лаборатории. В его конструкции отсутствуют дефицитные детали и материалы.
Все узлы станка крепятся на основании, представляющем собой параллелепипед размерами 200x265x340 мм, сваренный из стальных уголков 40x40x4 мм. К основанию привариваются, кроме того, два кронштейна, изготовленные из швеллера № 8, для крепления корпусов подшипников барабана.
Барабан (основной рабочий орган) и его шкив — литые. В качестве материала использован алюминиевый сплав АЛ-25, из которого сделаны поршни автомобильных двигателей. Поршни расплавляются в муфельной печке, а затем отливаются в песчаную форму. Отверстия в барабане под поворотный болт-зажим шкурки и противовесный болт должны быть просверлены симметрично относительно его оси. Кстати, масса у первого (вместе с «собачкой» фиксатором) и масса второго должны быть равные. В противном случае в результате дисбаланса возникнет вибрация, которая приведёт к преждевременному износу подшипников и отразится на работоспособности станка.
Корпуса подшипников выполнены сварными. Окончательный размер под подшипники в корпусах растачивается после сварки. Барабан приводится во вращение при помощи клиноремён-ной передачи от электродвигателя мощностью не менее 300 Вт, с числом оборотов в минуту от трёх до пяти тысяч, с достаточно большим пусковым моментом, так как барабан имеет довольно приличную массу, несмотря на то, что он выполнен из алюминиевого сплава. Этому требованию отвечают коллекторные электродвигатели. Я использовал на станке мотор от бытового электрополотёра.
Принципиально важным в предлагаемой мною конструкции шлифовального станка является наличие системы отсоса загрязнённого опилками и древесной пылью воздуха. Эта система делает станок экологически чистым и более «комфортабельным» при работе, так как позволяет обойтись без респиратора. Для отсоса опилок использован центробежный вентилятор-нагнетатель системы отопления салона автомобиля, который устанавливается на резьбовом конце оси барабана. Такой «пылесос» по производительности не уступает бытовому агрегату.
Кожух вентилятора крепится к кронштейну подшипника при помощи винтов-барашков, позволяющих быстро снимать его, когда возникает необходимость заменить износившуюся шкурку. На нагнетательный патрубок надевается мешочек из плотной ткани для сбора опилок. Всасывающее отверстие кожуха вентилятора соединяется с полостью кожуха барабана при помощи патрубка. Патрубок выклеивается из стеклоткани на пенопластовой болванке, которая затем выплавляется ацетоном. Полость кожуха барабана образована двумя концентрическими оболочками,приваренными к торцевым пластинам-фланцам. Внутренняя из них может быть приварена прерывистым швом, а наружная — обязательно сплошным, во избежание потерь давления. Расстояние между оболочками выбирается из условия равенства площади всасывающего отверстия кожуха вентилятора площади двух щелей, образуемых оболочками. В переднюю щель всасываются опилки, выбрасываемые барабаном при шлифовке, а в заднюю — опилки, которые захватываются шкуркой и выбрасываются центробежной силой барабана.
Кожухи барабана и ременной передачи и обшивка основания станка изготовлены из стального листа толщиной 1,5 мм. Ось барабана выточена из стали 30, а остальные детали — из стали 10.
Операция по заправке шкурки проста и достаточно наглядно показана на рисунке. Натяжка шкурки осуществляется при помощи рычага-«собачки»,надетого на квадратную часть поворотного болта-зажима шкурки и фиксирующегося в одном из пяти положений.
Стол изготавливается из стального листа толщиной 10 мм и имеет размеры 180×350 мм. Его рабочая поверхность должна быть ровной, по возможности отшлифованной на плоскошлифовальном станке. Стол, шарнирно закреплённый на основании, поднимается и опускается при помощи регулировочного болта, что даёт возможность получать шпон толщиной от 0,3 до 30 мм. Необходимый размер устанавливается по линейке, привинченной к основанию. Линейка градуируется при помощи мерных брусков, зажимаемых между барабаном и столом.
О неплохой производительности станка красноречиво свидетельствует тот факт, что за один проход можно снимать «стружку» толщиной до 1,5 мм.
Шпонирование деревянной основы, еще называют фанерованием. Шпонирование, как собственно говоря, фанерование, подразумевает под собой приклеивание тонких пластин дерева, шпона, на деревянную основу. Основа это столы, двери, шкафы, стены и прочие деревянные поверхности. Более подробно, о том, какие виды фанерования существуют, зачем это делать и как производить шпонирование своими руками, расскажем в статье.
Для чего шпонируют
мебель
Шпон — это тонкая
пластина древесины, как правило, ценных
пород. Используют шпон, для того, чтобы
обычное, недорогое дерево, стало по всем
внешним признакам, ценной, дорогой
породой.
Вследствие этого, цена на шпонированную мебель, в разы ниже, чем на массив дерева ценных пород. А внешний вид практически ничем не уступает второму.
Кроме выгоды в
стоимости, использование шпона, дает
широкие возможности для дизайна. Им же
можно обклеить старую мебель, тем самым
вдохнуть в нее вторую жизнь.
Какие бывают виды
шпонирования
Основными видами
шпонирования или фанерования, являются
три вида. А именно, горячее, холодное и
мембранное шпонирование.
Самым доступным методом, для домашнего использования, является метод горячего шпонирования. Тут шпон приклеивается к основе клеящим составом.
Остальные
два вида шпонирования -холодное и
мембранное, требует специальных станков
и других производственных мощностей.
Так, холодное шпонирование это прессование
шпона к основе. Для этого используются
прессовальные аппараты или винтовые
ваймы.
Мембранное шпонирование производится на сложных рельефных поверхностях. И базируется на вакуумном соединении гладких и рельефных плит и шпона
Процесс шпонирования
своими руками
Как мы уже говорили
ранее, самым доступным способом, для
домашнего использования, является
горячее фанерование. Для работы вам
понадобятся следующие основные материалы
и инструменты из списка:
- Основа для шпонирования
- Шпон из дерева
- Нож фанерный
- ПВА клей
- Чистый лист бумаги
- Валик или деревянный брусок, для затирки шпона
- Наждачка
- Утюг, чем тяжелее, тем лучше
- Резак
Подготовительные
работы
Прежде, чем
приступить к шпонированию, нужно, в
первую очередь, подготовить шпон. Шпон
натурального происхождения, часто
скручивают в рулон. Шпон, также может
быть покоробленным и так далее.
Чтобы придать шпону правильное положение, смочите его увлажненной водой, губкой, и положите между двумя листами фанеры. А чтобы ушла лишняя влага, проложите между фанерой и шпоном, с обеих сторон шпона, упаковочную бумагу.
Чаще всего, для
отделки мебели применяют строганный
шпон. Это узкие, но длинные листы. Ширина
строганного шпона, как правило, не шире
30 сантиметров.
Поэтому, после выравнивания и удаления лишней влаги с поверхности шпона, нарезаем листы, необходимой длины. Если, для примера, вы хотите обклеить стол, то шпон должен слегка выступать ха края основы. Лишнее, по окончании процесса шпонирования, можно будет срезать или зашкурить.
Кстати, не режьте
шпон ножом или ножницами. Шпон может
растрескаться и режется от неровно
этими приспособлениями. Для резки шпона
используйте фанерный нож или строгальный
станок.
Склеивание шпона
и основы
Клей ПВА наносим на шпон и на основу. На основе промазываем участок основы. Лучше всего, клеем промазывать дважды. Первый слой клея сушим почти до полного высыхания, чтобы клей практически перестал липнуть. Второй слой просушиваем до отлипа.
Следующим этапом, разогреваем утюг до 50 градусов. Это, примерно, средняя температура на утюга. И через лист белой бумаги утюжим шпон. После прохода утюгом, сразу же начинаем притирать валиком или бруском, шпон и основу.
Сырьем для изготовления шпона и фанеры служат кряжи и их отрезки (чураки), отвечающие определенным размерным и качественным требованиям.
Для клееной фанеры применяются чураки длиной от 0,8 до 3,2 м, а для строганого шпона – от 1,5 м и выше.
Размеры поперечного сечения сырья принципиального значения не имеют. Минимально допустимый размер обуславливается экономической целесообразностью разработки сырья, а максимально допустимый – размерами оборудования. Принято использовать сырье диаметром от 18 см и выше, для строганого шпона – 22…26 см и выше.
Качественные требования сводятся к ограничению как пороков древесины (сучков, ненормальной окраски и гнилей, трещин, червоточин и т.д.), так и дефектов формы (в первую очередь кривизны).
Применяют следующие породы древесины:
- для изготовления клееной фанеры – березу, ольху, бук, липу, осину, сосну, ель, кедр, пихту, лиственницу;
- для изготовления древесных слоистых пластиков – березу;
- для изготовления строганого шпона – дуб, бук, орех, клен, ясень, карагач, каштан, чинар, бархат, яблоню, грушу, тополь, черешню, белую акацию, березу, ольху.
Заготовка, доставка и хранение сырья (кряжей) на фанерных предприятиях производятся способами, аналогичными уже рассмотренным. Подготовка сырья к производству шпона заключается в разделке кряжей на чураки, гидротермической обработке и окорке.
1. Разделка кряжей на чураки
Существует три способа разделки:
- по наибольшей массе,
- по наибольшему качественному выходу
- комбинированный.
Целью первого способа является получение из каждого кряжа чураков, имеющих наибольшую кубатуру, независимо от их качества. При разделке по второму способу задаются целью получить высокосортные чураки, не считаясь с объемным выходом. Оба эти способа в чистом виде не применяются. Целесообразным является комбинированный способ, в основу которого положено получение максимальной массы при сохранении наибольшего качественного выхода.
Поперечное распиливание сырья состоит из двух, обычно совмещенных на практике операций – разметки кряжей и распиловки их на чураки.
Разметка заключается в определении на кряже линий пропила с учетом вырезки дефектных мест, чтобы получить наибольшее количество лучших по качеству чураков при наименьших потерях древесины.
Распил должен производиться при строгом соблюдении перпендикулярности плоскости реза к оси ствола и правильности длины чурака.
Кряжи в зависимости от размеров распиливают на круглопильных балансирных (ЦПС-710 (Россия) (рис. 1)) и маятниковых станках (ЦМЗ, ЦМЭ-2, ЦМЭ-3К (Россия) (рис. 2)), поперечнопильных станках с возвратнопоступательным движением пил или цепными пилами.
Рис. 1.
Рис. 2.
Существует станок «лисий хвост» с возвратнопоступательным движением пилы, применяемый для разделки сырья диаметром от 70 до 150 см.
Общие потери древесины при разделке кряжей на чураки составляют 1-3 % в зависимости от породы древесины.
Производительность круглопильных станков в чураках в смену (А, чур./см) определяется по формуле:

где Т – продолжительность смены, мин; U – скорость подачи пилы, м/мин; К M – коэффициент использования машинного времени; К Д – коэффициент использования рабочего времени; Д Ч – диаметр чурака, м; n – среднее число пропилов на один чурак.
Кряжи разделываются на чураки с припуском по длине на обработку.
Для получения фанеры размером 1525х1525 мм заготавливают чурак длиной 1600 мм, то есть с припуском 75…80 мм.
2. Гидротермическая обработка древесины
В процессе лущения и строгания шпона в нем возникают растягивающие напряжения поперек волокон, величина которых может определяться по формуле σ , МПа):

где Е – модуль упругости шпона поперек волокон древесины; S – толщина шпона; R – радиус чурака.
Технология резания рассматривается как процесс получения тонкого слоя древесины, который должен быть плотным и гладким (не иметь трещин).
В процессе резания снимаемый слой изгибается, изменяя первоначальную форму, в результате чего на левой растянутой стороне шпона возможны трещины.
Чтобы избежать трещин, искусственно усиливают деформативность древесины. Для этого чураки и ванчесы подвергают гидротермической обработке (увлажнение и нагрев).
Чем больше влажность древесины, тем больше ее пластичность. Сухая древесина обладает значительной хрупкостью.
Нагревание древесины (до определенного предела) придает волокнам хорошие пластические свойства. Высокие температуры действуют отрицательно на качество шпона, так как вследствие сильного размягчения волокон при резании возникает «ворсистость» поверхности.
- Береза, бук, ольха – 20…30 о С,
- Липа, осина – 15…20 о С,
- Красное дерево – 30…40 о С,
- Ель – 20 о С,
- Сосна – 40 о С,
- Лиственница – 50 о С,
- Ясень – 50 о С.
Гидротермическую обработку можно производить нагревом в воде: провариванием или пропариванием.
Проваривание производится в горячей или теплой воде в специальных бассейнах (открытых и закрытых), оборудованных механизмами для загрузки и выгрузки чураков (рис. 3). Этот способ прост и не требует больших затрат на его организацию, применяется главным образом для лущения.
Пропаривание применяется в основном при изготовлении строганого шпона, когда варка недопустима из-за изменения цвета древесины. Пропаривание производят в автоклавах, парильных камерах и ямах.
Гидротермическую обработку перед лущением можно производить по мягкому и жесткому режимам.
Мягкий – температура 35…40 о С, продолжительность нагрева 2…3 суток, жесткий – температур 70…80 о С, продолжительность нагрева 2…15 часов.
Рис. 3.1 – сбрасыватель; 2 – загрузочный конвейер; 3 – накопитель кряжей; 4 – крышка; 5 – грейферный захват; 6 – разделительная тумба; 7 – стена; 8 – кран; 9 – передвижной перегрузчик; 10 – разгрузочный конвейер
Гидротермическую обработку перед строганием производят в течение более длительного времени: температура насыщенного пара 120…130 о С, продолжительность обработки 4…10 часов.
Продолжительность гидротермической обработки вообще зависит от диаметра чурака, породы древесины, температуры нагревающей среды, начальной и конечной температуры древесины.
3. Окаривание
Окаривание
–
снятие коры с чураков перед лущением предохраняет режущий инструмент от затупления и порчи, уменьшает его износ, а также повышает производительность лущильного станка.
Основными требованиями к процессу окаривания являются чистота и сохранение заболонной части древесины чурака (сниматься должна только кора и луб).
Сырье окаривают на окорочных станках различного типа (ОК63-1Ф, ОК80-1, 2ОК63-1 (Россия), Valon Kone VK-26 (Финляндия)) или на лущильных станках упрощенной конструкции.
Часовая производительность роторных окорочных станков (А, м 3 /час) определяется по формуле:

где V – объем кряжа среднего d, м 3 ; K з – коэффициент загрузки станка; L – длина кряжа, м.
Для окорки древесины твердых пород и больших размеров наиболее пригоден ручной электрифицированный фрезерный инструмент. Частота вращения его ножевой головки 1500 мин -1 . Максимальная толщина снимаемого слоя 15 мм.
Окаривание на лущильных станках осуществляется при отведенной линейке, то есть без обжима. Оно производится на специально выделенном для этой цели лущильном станке, и дальше кряжи передают на другие лущильные станки для переработки.
По такому методу окаривание совмещают с обрезкой до цилиндра. Получаемые неполноформатные листы шпона разделываются на гильотинных ножницах непосредственно у станка. Достоинствами данного способа являются дополнительный отбор сырья в виде кусков, меньшая изнашиваемость (затупление) ножа, повышение производительности лущильных станков. Недостатком – увеличенный выход кусков при вторичной вставке чурака в лущильный станок.
Второй метод заключается в том, что операцию окаривания совмещают непосредственно с лущением на этом же станке, то есть окоренный чурак не вынимают. Для предупреждения быстрого затупления ножа чураки предварительно тщательно промывают.
4. Лущение шпона
Лущение шпона
– это процесс резания древесины, когда чураку сообщается вращательное движение, а режущему инструменту – поступательное в направлении оси вращения чурака. Процесс получения тонкой ленты подобен разматыванию рулона бумаги (рис. 4). Скорость резания является величиной переменной, так как число оборотов чурака постоянно, а диаметр чурака в процессе лущения уменьшается. Чурак зажимают между шпинделями станка путем их осевого перемещения. Вращательное движение шпиндели получают от электродвигателя. Нож крепится на суппорте, движение которого осуществляется с помощью механизма подачи. Максимальная длина обрабатываемого чурака (ширина ленты шпона) зависит от расстояния между зажимными кулачками. У современных станков оно в пределах 500…5000 мм. Наибольший диаметр обрабатываемых чураков зависит от высоты центров шпинделей над станиной. В современных станках оно составляет 400…2000 мм.
Рис. 4.
После разлущивания чурака остается отход в виде цилиндра, называемый карандашом, диаметр которого зависит от диаметра зажимных кулачков. Для уменьшения диаметра карандаша кулачки делают телескопическими. В начале процесса лущения чурак зажимают наружными кулачками, имеющими диаметр 100…110 мм, а затем в конце процесса зажим осуществляют внутренними кулачками диаметром 55…65 мм.
Толщина шпона представляет собой величину подачи ножа на один оборот шпинделя. В последних моделях станков диапазон толщины может находиться в пределах 0,05…5 мм.
При свободном резании древесины на левой стороне шпона, обращенной к чураку, возникают трещины и неровности.
Для их ликвидации применяют обжим шпона с помощью прижимной линейки, которая устанавливается так, чтобы создаваемое ей давление было направлено через режущую кромку ножа. При этом зазор между ножом и линейкой должен быть не меньше расчетной толщины шпона. Степень обжима (Δ , %) можно определить по формуле:

где S – расчетная толщина шпона, мм; S 0 – расстояние между ножом и прижимной линейкой, мм.
Для обеспечения требуемого качества шпона степень обжима должна быть выдержана в пределах 10…30 % в зависимости от породы древесины, толщины шпона и температуры чурака.
При разлущивании чурака выделяют четыре зоны (рис. 5):
Объем древесины в каждой зоне может быть охарактеризован следующими цифрами: зона рванины – 20…23 %; зона длинных кусков – 4…5 %; зона полноформатного шпона – 57…59 %; зона карандаша – 15…17 %.
Рис. 5.1 – зона рванины, являющаяся следствием неправильной формы чурака; 2 – зона длинных кусков, являющаяся следствием неправильной установки чурака между шпинделями станков;3 – зона полноформатного шпона; 4 – зона карандаша
В случае лущения чурака на станке, оборудованном центровочным устройством, полезный выход (q, м 3) может быть определен по формуле:

где d ч – диаметр чурака, м; d к – диаметр карандаша, м; l ч – длина чурака, м; К в – коэффициент выхода сырого шпона из чурака.
Объем чурака, оставшегося после лущения (q ч, м 3), определяется по формуле:

Объем рванины из одного чурака (Q, м 3) определяется по формуле:

где q ч – объем чурака, м 3 .
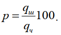
Выход шпона выражается в % от объема чурака:

Кусковой шпон, образующийся в начальной стадии лущения, используется для изготовления малоформатной фанеры или серединок полноформатной. Минимальная длина отбираемых кусков 0,8 м, минимальная ширина – 0,13 м. Правильная организация отбора кусков увеличивает выход шпона на 4…4,5 %. В настоящее время наиболее широко применяются лущильные станки марок ЛУ 17-4, ЛУ 17-10, СЛ-800, СЛ-1600 (Россия) (рис. 6); SF 2350 (Италия); Токио Плитвуд МК (Япония); MQW2314/35B2 (Китай).
Рис. 6.
Шпон, получаемый при разлущивании чурака, имеет вид ленты, ширина которой равна длине чурака, а длина зависит от диаметра чурака и толщины шпона.
На выходе из лущильного станка лента шпона разрезается на отдельные ленты, ширина которых определяется из выражения:
(9)
где В ф – ширина готового листа фанеры, мм; Δ 0 – припуск на обрезку (75…80) мм; Δ у – припуск на усушку в зависимости от породы древесины и размера листа, мм.
5. Раскрой ленты шпона
Раскрой ленты шпона
осуществляется на ножницах различных типов (НФ-18; НФ-1803, СЛ-1700, APL финской фирмы «Raute»), снабженных устройством для укладки листов шпона в стопу. Как правило, лущильный станок и ножницы встраиваются в полуавтоматическую поточную линию: лущение – рубка – укладка шпона (ЛУР 17-3 состоит из ЛУ 17-4 и НФ 18-3) (рис. 7).
Рис. 7.
6. Сушка шпона
При склеивании шпон должен иметь влажность 6…12 %. Поэтому шпон подвергают сушке сразу же после выхода из лущильного отделения.
В связи с малой толщиной шпона, напряжения, возникающие в нем, незначительны. Значит, сушку можно осуществлять по более жестким режимам, чем пиломатериалы.
Существуют следующие способы подвода тепла к высушиваемому шпону: кондуктивный, конвективный, кондуктивно-конвективный и радиационный.
При кондуктивном способе тепло передается высушиваемому материалу в результате его соприкосновения с нагретым телом. Этот способ сушки применяется в так называемых «дыхательных» прессах. Они периодически размыкаются для выхода пара и в настоящее время практически не используются.
При конвективном способе передача тепла осуществляется посредством агента сушки: горячий воздух или топочный газ. Этот способ используется в ленточных сушилках (камера, в которой циркулирует воздух). Шпон перемещается по проволочным лентам специального плетения, которым сообщается движение от специального привода. Температура агента сушки 60…120 о С, скорость движения воздуха 0,9…1,1 м/с, продолжительность сушки 20…90 мин.
При кондуктивно-конвективном способе передача тепла осуществляется сразу двумя способами. По этому принципу работают роликовые сушилки – камеры, внутри которых в несколько рядов по высоте располагаются ролики.
При радиационном способе тепловая энергия распространяется в среде в виде электромагнитных колебаний в инфракрасном диапазоне. ИK-лучи способны нагревать поверхность древесины на 1-2 мм в глубину. На практике используют излучатели с температурой 130-250 С.
Наиболее распространенными сегодня являются агрегаты комбинированной сушки, где основной тип теплопереноса – конвекционный с долей контактного нагрева. Это роликовые сушилки с паровым или газовым обогревом. Это сушилки непрерывного действия, в которых листы шпона перемещаются от сырого к сухому концу системой приводных парных роликов. По принципу циркуляции агента сушки сушилки бывают с продольной, поперечной циркуляцией и с сопловым дутьем перпендикулярно плоскости листов шпона.
Паровые роликовые сушилки типа СУР (СУР-4, СУР-5 (Россия) (рис. 9), «Raute» (Финляндия)) состоят из загрузочной этажерки с приводными роликами, восьми секций сушки, одной секции охлаждения и разгрузочной этажерки из пяти плоских полок. Подачи шпона образована при помощи рядов парных роликов, вращающихся в противоположных направлениях (рис. 8).
Рис. 8. 1 – листы шпона; 2 – верхние ведомые ролики; 3 – нижние приводные ролики; 4 – калориферы
Паровые сушилки с сопловым дутьем (СУР-8 (Россия), VMS«Raute» (Финляндия)) являются разновидностью паровых сушилок. Они отличаются тем, что тепло шпону передается не только от внешних калориферов, но и от поверхности труб, вмонтированных в сопловые короба. Интенсивность сушки в таких сушилках при прочих равных условиях возрастает в 2-3 раза по сравнению с интенсивностью сушки в сушилках с продольной и поперечной циркуляцией воздуха.
Рис. 9.
Газовые роликовые сушилки (СРГ-25, СРГ-25М, СРГ-50 (Россия), YST- 480 «Raute» (Финляндия)) отличаются от паровых более высокой температурой агента сушки (250…300 о С) благодаря применению смеси топочных газов с воздухом. Для этого сушилки снабжаются топками, где сжигается твердое, жидкое или газовое топливо, а топочные газы в смеси с атмосферным воздухом непосредственно подаются в зону сушки. Поэтому в газовых сушилках отсутствуют калориферы, и при том же каркасе становится возможным сделать вместо пяти восемь этажей.
Ленточные (сетчатые) сушилки (паровая роликовая сушилка СуШЛ) используются в основном для сушки шпона в виде непрерывной ленты и устанавливаются в линии лущения-сушки-рубки-сортировки шпона. Преимущество этого способа в том, что снижаются потери шпона при его рубке и транспортировке в сухом виде на 3…5 %, а трудозатраты сокращаются в 2…2,5 раза.
Контактные сушилки основаны на принципе передачи тепла шпону соприкосновением с нагретыми плитами. К сушилкам такого типа относится, в первую очередь, дыхательный пресс (СУД-4, СУД-7 (Россия)).
Сушилка с шахматным расположением роликов занимает меньшую производственную площадь и позволяет сохранить производительность при меньших трудозатратах.
Продолжительность сушки зависит от температуры агента сушки, скорости циркуляции, толщины шпона, породы древесины, начальной и конечной влажности шпона. Обычно температура агента сушки у паровых сушилок 80…150, у газовых – 160…300 о С; скорость движения воздуха 1,7…2,5 м/с; продолжительность сушки 3…15 мин.
Производительность роликовых и ленточных сушилок (А, м 3 /смену) определяется по формуле:

где m – число листов шпона на 1 этаж; n – число этажей; L – полная рабочая длина сушилки, м; b – ширина сухого листа шпона; S – толщина шпона, мм; T – время работы сушилки в мин; К п – коэффициент, учитывающий переход от сушки шпона одного вида к другому (К п = 0,9 – 1,0); К з – коэффициент заполнения сушилки по длине, (К з = 0,96 – 0,98); К в – коэффициент использования рабочего времени; Z 1 – продолжительность прохождения шпона через сушилку, мин.
После сушки шпон сортируется.
7. Сортировка шпона
Сортировка шпона
может осуществляться непосредственно у сушилок, на транспортерах, перемещающих шпон к подстопным местам, а также на специально отведенных площадках. Для механизации операции рассортировки стоп шпона, поступающих из сушилок, разработан сортировщик сухого шпона СШ – 3. Применяются линии сортирования с автоматической оценкой качества шпона с использованием фотодатчиков и встроенной ЭВМ. Система улавливает темные места на листе шпона, определяет их количество, размеры, площадь и сравнивает результат с эталонами, имеющимися в ее памяти, на основании чего выносит решение о присвоении того или иного сорта.
Сортность шпона может быть повышена за счет починки. Операция выполняется на шпонопочиночных станках марки ПШ, ПШ – 2А, ПШ-2АМ (рис. 10) и др. Починка заключается в вырубке из листа дефектов и вставки на их место заплаток из здоровой древесины. Заплатка должна входить с натягом в 0,1…0,2 мм.
Рис. 10.
Образующиеся в начале лущения куски шпона целесообразно соединять в полноформатные листы методом сращивания (гуммированной лентой, клеевой нитью). Для соединения полос шпона используются ребросклеивающие станки РС-5, РС-7, РС-9, РСП-2 (Россия) и др.
Дорогостоящие сорта лесоматериалов являются прекрасным сырьем для создания предметов мебели, однако не все люди могут себе позволить такую дорогую продукцию. С целью экономии ценных пород древесины и снижения стоимости конечного продукта и был придуман шпон. Этот материал сегодня крайне популярен для облицовки мебели. Шпон на 100% повторяет узор, текстуру и оттенок натуральной древесины.
Для создания шпона на производствах пользуются специальными станками. Шпон бывает:
- лущеный
- строганый
- пиленый.
Соответственно и станок для производства шпона бывает трех типов.
Лущильный станок для производства шпона
Для реализации лущения шпона сырье необходимо предварительно обработать паром для того, чтобы увеличить пластичность. После этого кряжи подаются на окорочный станок, где с заготовки удаляется кора, а вместе с ней грязь и песок, которые часто становятся причиной быстрого затупления лущильных ножей.
При помощи пилы кряжи раскраивают на чураки определенной длины. Чурак нужно предварительно оцилиндровать, после чего можно приступать к лущению. Лента шпона, которая выходит из лущильного станка, кладется на конвейер, подающий ее к ножницам. Ножницы режут шпон на листы необходимого формата.
По конвейеру шпон укладывается в пачку, которая выносится из-под ножниц и при помощи электрического погрузчика доставляется в сушилку. Сушат продукцию в роликовой сушилке, далее на конвейере его сортируют и складывают по сортам в пачки. Дефектные листы можно склеить.
Если на листах имеются сучки, их отправляют на шпонопочиночный станок, где удаляют изъяны и декорируют их вставками из шпона.
Такой станок для шпона позволяет получить листовой материал толщиной от 1,5 до 5 мм из разнообразных сортов лесоматериалов. На большинстве станков имеется система, которая позволяет в автоматическом режиме устанавливать бревно для последующей обработки.
Чтобы повысить производительность и удобство работы оператора станки оборудуют гидравлическими подъемниками-центроискателями, которые сами определяют подходящую ось вращения заготовки и совмещают ее с осью вращения центровочных валов.
Лущение пропаренной древесины используется для сосновых, ольховых, березовых лесоматериалов. Из лущеного шпона изготавливают фанеру.
Станок для строгания шпона
Прежде всего, кряжи подвергают поперечному раскрою. Во время этой процедуры кряжи распиливают на отрезки необходимой длины. Все отрезки распиливают вдоль, вследствие чего образуется двухкантный брус. Иногда его распиливают пополам. После этого ванчесы подвергают тепловой обработке в пропарочной камере или автоклаве.
Далее ванчесы нужно острогать на шпонострогальном станке. Строганный шпон сушат в роликовых сушилках, торцуют и пакуют в пачки. В каждом наборе составляется конкретный рисунок. Оттенок и узор древесины должны совпадать в каждом наборе.
Именно по этой причине листы шпона, которые получаются из каждого ванчеса во время строгания, складывают, сушат и пакуют в пачки точно в том порядке, в каком они выходили из строгального станка. Когда строгаются одновременно три ванчеса, шпон из каждого из них складывают в три разные пачки.
Укомплектованную, высушенную, запакованную и перетянутую шпагатом пачку шпона называют кнолем.
Станок для изготовления шпона позволяет создать из дорогостоящих сортов лесоматериалов, которые отличаются необычной текстурой, тонкие листы. Такой материал отлично подходит для фанерования. Методы создания шпона:
- радиальный
- тангенциальный
- радиально-тангенциальный
- тангенциально-торцовый.
Наиболее привлекательным сырьем для создания шпона является дубовая древесина. Такой шпон используют для облицовки рустикальных предметов мебели элитного сегмента.
Кроме дубового шпона в специализированных магазинах можно встретить кленовый, буковый, липовый материал, а также из красного дерева.
Станок для сшивки шпона
Шпон режут на специализированных аппаратах. Он отличается довольно тонкой и хрупкой структурой. Для того, чтобы отделать поверхность шпоном, его необходимо соединить между собой для получения полотна, скатываемого в рулоны. Шпон соединяют двумя способами:
Эти методы одинаково популярны на мебельных производствах. Сшивку шпона осуществляют на станке или ручным способом. Для небольших мастерских разработаны ручные устройства для склейки или сшивки шпона. При помощи особого устройства клеевую или термонить разогревают, и в виде зигзага наносят на основную сторону.
Сегодня станки для сшивки шпона представляют собой небольшие аппараты, функционирующие в автономном режиме. Управление такой машиной осуществляет один специалист. Вся работа на них производится четко, качественно и достаточно быстро.
Ручная сшивка встречается все реже, главным образом, в антикварных, реставрационных и авторских мастерских.
Источник: http://wood-prom.ru/clauses/promyshlennoe-oborudovanie/stanok-dlya-shpona
Как делают фанеру: подготовка бревен, оцилиндровка и лущение, нарезка на листы, сушка в прессе, обрезка, сортировка и складирование
Все фото из статьи
Тема этой статьи — изготовление фанеры. Мы познакомимся с полным циклом ее производства — от окорки древесных стволов, до отгрузки готового материала на склад. Кроме того, мы выясним, можно ли производить фанеру в домашних условиях.
Одна из стадий производства — подача бревен в лущильный станок.
Производственный цикл
Он состоит из нескольких этапов:
На некоторых этапах стоит остановиться чуть подробнее.
Подготовка бревен
Из чего делается фанера при полном цикле производства?
- Из стволов хвойных и лиственных деревьев;
- Из связующего — клеев на основе искусственных смол.
Наиболее типичный материал фанеры — сосна и береза. Несколько реже применяются пихта, лиственница, кедр, ель, тополь, ольха, липа, осина и бук.
Обратите внимание: хвойная и лиственная фанера заметно различается механической прочностью и производится по разным ГОСТ — 3919.1-96 и 3919.2-96 соответственно.
Спиленные и лишенные сучьев бревна окоряются (очищаются от коры) и нарезаются вручную или на торцовочном станке на отрезки одинаковой длины. В зимнее время стволы предварительно выдерживаются в ванне с теплой водой для придания замерзшей древесине необходимой пластичности.
Окорка ствола.
Оцилиндровка и лущение
Как правило, эти две операции выполняются на одном станке. Вначале заготовке придается цилиндрическая форма; затем с нее по сужающейся спирали снимается слой древесины толщиной около миллиметра. Оставшийся черенок в производстве не используется.
Нарезка на листы
Она сопровождается сортировкой материала. Дефектные участки листов вырезаются; полосы небольшой (менее 1,5 м) ширины могут быть использованы для склейки в целый лист.
Нарезка шпона на листы и первичная сортировка.
Затем шпон проходит клеевальцы, где он промазывается связующим.
Справка: в производстве фанеры ФК используется карбамидоформальдегидная смола.
Так называемая техническая фанера ФСФ склеивается фенолформальдегидными смолами, что позволяет отнести это производство к категории вредных.
Сушка в прессе
Для сушки листов используется гидравлический пресс с прогревом плит перегретым паром. Типичная температура сушки около 200 градусов. Продолжительность этой части цикла составляет от 30 минут до 2 часов в зависимости от толщины листа.
Сушка осуществляется при интенсивной принудительной вентиляции помещения: как уже говорилось, формальдегиды отнюдь не полезны для здоровья.
Выгрузка из пресса.
Обрезка
Просушенный лист представляет собой неопрятный сэндвич с неровными кромками. Чтобы превратиться в готовое для продажи изделие, он проходит обрезку на распиловочном станке.
Обратите внимание: согласно требованиям ГОСТ, кромки листа должны быть строго перпендикулярны друг другу.
Косина может составлять не более 2 мм на погонный метр.
Сортировка
Качество фанеры определяется визуально и, в зависимости от внешнего вида поверхности, позволяет отнести ее к одному из сортов — от элитного до четвертого.
К основным дефектам относятся:
- Живые и выпадающие сучки;
- Разошедшиеся и неразошедшиеся трещины;
- Здоровые и болезненные изменения цвета.
Цена листа в зависимости от сорта может различаться в два раза и более.
Особо стоит отметить два факта:
- Для материала сорта Е (Элита) недопустимы даже резкие переходы цвета и существенные изменения структуры поверхностного слоя шпона;
Фото позволяет оценить разницу между элитным и прочими сортами.
- Расслоение шпона сразу отправляет лист в брак вне зависимости от сорта.
Складирование
Установленная вертикально или под наклоном фанерная плита способна деформироваться под собственным весом благодаря текучести связывающих слои шпона смол.
Кроме того: ферментация может изменить цвет верхнего слоя на ярком солнечном свету.
Именно поэтому содержащаяся в отечественных стандартах инструкция по складированию листов предписывает хранить их строго определенным образом:
- в закрытом помещении с постоянной влажностью;
- защищенными от прямых солнечных лучей;
- в горизонтальном положении, уложенными на поддоны или подкладки.
Складирование материала.
Особый случай
Чтобы избежать путаницы в терминологии, стоит объяснить одну тонкость. Вопреки названию, перфорированная фанера не имеет к слоистому материалу из шпона никакого отношения.
Так называется лист ХДФ (древесноволокнистая плита высокой плотности, она же — прессованный оргалит) с проделанными в нем через равные промежутки отверстиями. Материал используется при оформлении витрин, в качестве филенок шкафных и внутренних дверей и т.д.
Перфорированный ХДФ.
Очумелые ручки
Может ли обычная фанера производиться в условиях небольшой частной мастерской? По полному циклу — едва ли, слишком габаритное оборудование требуется для распаривания, окорки стволов и лущения шпона. А вот склеивать шпон в готовые листы в домашних условиях вполне возможно.
Зачем это нужно? Например, для производства так называемой инженерной паркетной доски, состоящей из фанеры ФК с наклеенным на нее слоем шпона из древесины твердых пород.
Самый очевидный способ наладить кустарное производство — купить клеевальцы и пресс, благо оборудование для производства фанеры б у вполне доступно по стоимости. Однако если фанера своими руками будет производиться не на продажу, а исключительно ради ремонта в собственном доме, оно просто не окупится.
План «Б» состоит в холодной склейке шпона с готовым фанерным листом:
Оклейка фанеры шпоном благородных пород.
- И уложенный на ровное основание лист, и тыльная сторона шпона промазываются клеем ПВА;
- Шпон укладывается на поверхность листа и разглаживается;
- Заготовка придавливается листом толстой (22 — 27 мм) фанеры и пригружается весом 300 — 400 кг, максимально равномерно распределенным по всей поверхности.
Полная просушка клея займет около суток. По прошествии этого времени лист нарезается на доски нужного размера на обычной стационарной циркулярке. Затем фрезерный станок или ручной фрезер для дерева с направляющей используется для снятия фаски глубиной около миллиметра.
Внешний вид получившегося материала не уступит покупному паркету.
Обратите внимание: по понятным причинам изготовленный таким образом паркет можно укладывать только на клей.
В отсутствие кликовых замков о плавающей укладке речь не идет.
Заключение
Источник: https://rubankom.com/materialy/proizvodnye/fanera/1917-kak-delayut-faneru
Pereosnastka.ru
Конструкция лущильных станков
К
атегория:
Производство клееной фанеры
Конструкция лущильных станков
Лущильные станки по техническим показателям подразделяют:- по наибольшему расстоянию между центрами шпинделей. Это расстояние определяет максимально возможную длину ножа и длину чураков, подлежащих лущению.
Наиболее распространенными являются станки для лущения чураков длиной 1350, 1650, 1950 мм. Длина чурака определяется размерами листов шпона;
По высоте центров шпинделей над станиной.
Высота центров определяется наибольшим радиусом чурака с припуском 100-150 мм.
Отечественные станки рассчитаны на лущение сырья диаметром 60-70 см. Иностранные фирмы выпускают станки для лущения чураков диаметром более 80 см.
Лущильный станок ЛУ-17-4 состоит из следующих основных частей: станины, двух шпиндельных бабок, суппорта кинематического узла, механизма поджима, центровочно-загрузочного приспособления.
Станина станка служит для крепления всех основных частей станка, восприятия динамических нагрузок резания и вспомогательных операций лущения.
Станина представляет собой жесткую сварную раму из двутавровых балок, на которой установлены чугунные шпиндельные бабки. В раме имеется щель для выброса карандаша вниз на транспортер.
Шпиндельные бабки (правая и левая) служат для закрепления чурака и придают ему вращательное движение.
На рис. 2 показан разрез правой шпиндельной бабки. Шпиндельная бабка имеет два телескопических шпинделя с соответствующими кулачками.
Наличие большого кулачка позволяет избежать раскола чураков в начальный период лущения, а малый кулачок дает возможность лущить карандаш диаметром до 70 мм.
Зажимают чурак на станке следующим образом.
Рис. 1. Станок ЛУ-17-4:
1 — станина, 2 — левая шпиндельная бабка, 3 — центровочно-загрузоч-ное приспособление, 4 — сварная балка, 5 — прижимные ролики, 6 — правая шпиндельная бабка, 7 — механизм прижима чурака, 8 — гидропривод, 9 — пустотелый вал, 10 — чугунная балка, 11 — суппорт, 12 — привод ускоренного перемещения суппорта, 13 — электродвигатель, 14 — механизм подачи чураков
Насос подает масло из гидросистемы в распределитель. Поршень под давлением перемещает шток в большом гидроцилиндре на величину до 150 мм. Шток поршня, жестко связанный с подвижным подшипниковым узлом малого шпинделя, перемещается также на длину гидроцилиндра. На подшипниковом узле малого шпинделя закреплен малый шпиндель. Последний, свободно перемещаясь внутри пустотелого большого шпинделя, кулачком зажимает чурак.
Разрез правой шпиндельной бабки станка ЛУ-17-4:
1 — поршень, 2 — большой гидроцилиндр, 3 — шток поршня, 4 — подвижной подшипниковый узел малого шпинделя, 5 — корпус, 6 — шли-цевая втулка, 7- шпонка шестерни, 8 — шестерня, 9- шпонка звездочки, 10 — звездочка, 11 — гнльза, 12-пустотелый большой шпиндель, 13 — малый кулачок, 14 — большой кулачок, 15 — малый шпиндель, 16 — сферические роликовые подшипники, 17 — шлицевая втулка большого шпинделя, 18 — рычаг, 19 — подвижный подшипниковый узел большого шпинделя, 20 — шлицы, 21 — шпонка, 22 — скользящие шпонки, 23-малый гидроцилиндр, 24 — малый поршень со штоком, 25 — шпилька
Масло одновременно поступает в большой и малый гидроцилиндры. Малый поршень со штоком перемещается в сторону чурака и, действуя на рычаг, смещает подвижный подшипниковый узел большого шпинделя. Величина смещения малого поршня со штоком зависит от размера малого гидроцилиндра и составляет 150 мм. Закрепленный в подвижном подшипниковом узле пустотелый большой шпиндель перемещается на указанную величину и зажимает большим кулачком чурак.
Таким образом, два шпинделя одновременно зажимают чурак закрепленными на них кулачками. Работа левого шпинделя аналогична работе правого.
После зажима чураку придают вращательное движение от главного вала через шестерню. Вращающаяся шестерня через шпонку приводит во вращение гильзу, которая с помощью шлицевой втулки 6 вращает пустотелый большой шпиндель. Большой шпиндель через шлицевую втулку большого шпинделя приводит во вращение малый шпиндель.
Скользящие шпонки предохраняют от вращения подвижные подшипниковые узлы; одновременно они являются направляющими при горизонтальном перемещении этих узлов.
В процессе лущения, когда лущильный нож подходит к вращающемуся кулачку большого шпинделя, гидросистема возвращает большой шпиндель в начальное положение. То же происходит, когда лущильный нож приближается к кулачкам малого шпинделя.
Система подвода масла к гидроцилиндрам для возврата шпинделей в исходное положение была показана на рис. 1.
Подключение гидросистемы к шпиндельным бабкам происходит таким образом, что при подаче масла на поршни большого и малого гидроцилиндров эти поршни возвращаются в исходное положение. Благодаря пустотелой конструкции большого шпинделя и шлицевому соединению двух шпинделей достигается их независимое передвижение относительно друг друга в горизонтальной плоскости.
Благодаря применению шпиндельных бабок стало возможным долущивать чурак диаметром до 70 мм на станке ЛУ-17-4, отказавшись от использования на этой операции малых лущильных станков.
Суппорт лущильного станка предназначен для закрепления ножа, его регулировки, настройки и для придания ему возвратно-поступательного движения (к чураку и обратно).
Суппорт состоит из двух боковых ползунов, перемещающихся по горизонтальным съемным параллелям, расположенным на станине станка; ножевой траверсы — для крепления и регулировки лущильного ножа; траверсы прижимной линейки — для крепления и регулировки прижимной линейки станка; двух суппортных винтов, сообщающих суппорту возвратно-поступательное движение.
Суппорт имеет дополнительные верхние и нижние направляющие, с которыми связана ножевая траверса и при помощи которых изменяется угол резания во время лущения чураков. Прижимная линейка соединена с ножевой траверсой эксцентриковым валом.
Механизм поджима чурака устраняет прогиб чурака в конце лущения под действием сил резания.
Этот механизм состоит из чугунной балки, закрепленной на пустотелом валу, двух пар прижимных роликов, гидроцилиндра перемещения роликов, смонтированного на стальной сварной балке, соединяющей обе бабки станка, а также устройства для регулировки синхронности перемещения ножа и прижимных роликов. Блок прижимных роликов шарнирно соединен с балкой и со штоком гидроцилиндра. Цапфы пустотелого вала установлены в подшипниках, корпуса которых прикреплены к бабкам станка.
Кинематический узел станка служит для связи рабочих органов станка (суппорта и шпиндельных бабок) и придания им рабочих движений.
На рис. 3 приведена кинематическая схема лущильного станка ЛУ-17-4. Сцентрированный и зажатый в шпинделях станка чурак (работа центровочно-загрузочного приспособления будет описана ниже) приводится во вращение от главного вала через шестерни. Главный вал соединен с электродвигателем через клиноременную передачу и электромагнитную муфту.
Кинематическая схема лущильного станка ЛУ-17-4:
1 — главный электродвигатель, 2 и 22 — клиноременная передача, 3 — электромагнитная муфта, 4, 5, 6 — шестерни, 7 — главный вал, 8, 9, 10, 16, 17, 18 — звездочки, 11 — промежуточный вал, 12-правый пустотелый вал, 13 — кулачковая муфта, 14 — передаточный вал, 15 — левый пустотелый вал, 19, 20 — конические шестерни, 21 — суппортный вал, 23 — электродвигатель ускоренного подвода и отвода суппорта, 24 — суппортные винты, 25 — поршни гидроцилиндра следящей системы, 26 — пневмоцилиндры центровки чураков, 27 — механизм подачи чураков, 28 — рукоятка переключения ускоренной и рабочей подачи суппорта, 29 — электромагнит; а, б, в, г — сменные шестерни набора толщин шпона
Левый шпиндель приводится во вращение от главного вата также через шестерни. Шестерня, вращая гильзу правого шпинделя, сообщает вращение звездочке. Звездочка втулочно-роликовой цепью соединена с промежуточным валом через звездочку, жестко закрепленную на промежуточном валу.
Вал приводит во вращение правый пустотелый вал через сменные шестерни а, б, в и г. Через кулачковую муфту, посаженную на скользящую шпонку, вращение с пустотелого вала передается на передаточный вал.
Через звездочку, жестко закрепленную на валу, и втулочно-роли-ковую цепь вращение передается на суппортный вал через звездочку.
Система конических шестерен, приводит в движение суппортные винты, а последние — суппорт, который перемещается по направляющим к вращающемуся чураку. Поступательное движение суппорта осуществляется благодаря суппортным гайкам, жестко связанным с корпусом суппорта.
Величина подачи суппорта за один оборот чурака, т. е.
толщина снимаемого шпона, зависит от расположения сменных шестерен а, б, в и г, так как жесткая связь во всех звеньях кинематической схемы, кроме сменных шестерен а, б, в и г, обеспечивает постоянное передаточное отношение.
Из таблицы видно, что изменение толщины шпона от 0,2 до 3,2 мм достигается в основном сменой шестерни а при взаимном расположении блок-шестерен (б — в) в двух положениях.
К концу лущения, когда диаметр чурака будет приближаться к диаметру малого кулачка шпинделя, рабочая подача суппорта прекращается при переводе кулачковой муфты в нейтральное положение рукояткой. Одно-вРеменно электромагнитную муфту выводят из соединения со шкивом клиноременной передачи и вращение карандаша в шпинделях станка прекращается.
С помощью электромагнитной муфты можно останавливать Движение главного вала, не выключая главного электродвигателя, что целесообразно экономически, так как пусковые моменты при включении электродвига-едя отрицательно сказываются на электроснабжении предприятия.
Гидросистема возвращает шпиндели в исходное положение, а карандаш через щель в станине удаляется транспортером из цеха.
Вращением суппортного вала в обратную сторону по отношению к рабочему движению электродвигателя через клиноременную передачу производится возврат суппорта в исходное положение. Суппорт подают в исходное положение на ускоренной подаче, что дает значительный выигрыш во времени. После этого электродвигатель выключают. В таком положении лущильный станок готов для лущения очередного чурака. Далее операция повторяется, как указано выше.
Кроме рабочей подачи, которая обеспечивает получение шпона заданной толщины, лущильный станок имеет ускоренную подачу, которая применяется в начальный период лущения для снятия больших неровностей на чураке.
Включение ускоренной подачи производится муфтой левого пустотелого вала. Вращение вала через муфту передается валу. Далее вращение передается как при рабочей подаче. Вращение вала 15 осуществляется от пала звездочками и втулочно-роликовой цепью.
В этом случае система сменных шестерен а, б, в иг отключена и в работе участия не принимает.
После окончания обдирки (на ускоренной подаче суппорта) передвигают рукояткой кулачковую муфту, тем самым отключая вал и включая вал. Далее происходит процесс лущения на рабочей подаче. Электромагнит служит для автоматического перевода кулачковой муфты в нейтральное положение.
Рис. 4. Схема устройства центровочно-загрузочного приспособления:
1 — свободно вращающаяся ось, 2- пневматический цилиндр, 3 — рычаг, 4 — груз, 5 — верхняя шестерня, 6 — сектор без зубцов, 7 — клещевые захваты, 8 — двухходовой кран, 9 — нижняя шестерня, 10 — зубчатые сектора
Центровочно-загрузочное приспособление служит для правильной центровки чурака, т. е. сокращения отпада шпона в процессе лущения, и для загрузки чурака в лущильный станок.
На лущильных станках устанавливают, как правило, Центровочно-загрузочное приспособление системы А. Жукова, В. П. Банко и А. А. Порохина. Благодаря этому приспособлению стало возможным одновременно выполнять центровку чурака и подачу его к шпинделям лущильного станка.
Центровочно-загрузочное приспособление состоит из Двух пневматических цилиндров, свободно поворачивающихся на осях, прикрепленных к станине лущильного станка. На выступающих ступицах нижних шестерен укреплены рычаги с разрезными хомутами, что позволяет крепить рычаги на ступице в любом положении. Рычаги шарнирно соединены со штоками поршней пневматических цилиндров.
Подъем и центровка чурака осуществляется поворотом рукоятки двухходового крана. При этом сжатый воздух поступает в пневматические цилиндры. При подъеме поршней штоки поворачивают рычаги, которые при помощи шестерен и зубчатых секторов сводят клещевые захваты до соприкосновения их с поверхностью чурака.
Во время зажима чурака шпинделями происходит его осевое перемещение. Неровности чурака могут несколько разводить губки клещевых захватов за счет компрессии воздуха в цилиндрах, не создавая в звеньях механизма дополнительных усилий.
Скорость сжатия клещевых захватов регулируется степенью открытия воздушного крана.
Разведение клещевых захватов осуществляется под действием грузов, закрепленных на концах рычагов, или пружинами, как показано на рис. 19. Повернув рукоятку двухходового крана, открывают отверстие для выхода воздуха.
Приспособление работает при давлении в сети 4- 4,5 ати. Расход воздуха на один лущильный станок составляет 0,7 м3/ч. Верхние и нижние клещи закреплены на валах с помощью сквозных призматических шпонок в соответствующих положениях по отношению к зубчатым секторам.
Регулирование взаимного положения верхних и нижних клещей, обеспечивающее симметричность их движения (от чего зависит точность центровки), осуществляется при помощи особого устройства. Верхние секторы этого устройства двойные. Сектор без зубцов жестко скреплен с осью верхней клешни, а зубчатый сектор сидит на оси свободно и связан с верхней шестерней. Он может смещаться относительно сектора и жестко скрепляться с ним в нужном положении.
Для повышения точности центровки угол вилок доведен до 90°, нижние вилки жестко соединены с клещами, а верхние оставлены свободно вращающимися в пальцах. Для устранения наезда суппорта на клещи (при неполном их разведении) на станке установлена электрическая автоблокировка.
Кроме перечисленных выше основных частей, лущильный станок имеет также механизм подачи чураков, гидропривод, электрооборудование с автоблокировкой.
Дорогостоящие сорта лесоматериалов являются прекрасным сырьем для создания предметов мебели, однако не все люди могут себе позволить такую дорогую продукцию. С целью экономии ценных пород древесины и снижения стоимости конечного продукта и был придуман шпон. Этот материал сегодня крайне популярен для облицовки мебели. Шпон на 100% повторяет узор, текстуру и оттенок натуральной древесины.
Для создания шпона на производствах пользуются специальными станками. Шпон бывает:
Соответственно и станок для производства шпона бывает трех типов.
Лущильный станок для производства шпона
Для реализации лущения шпона сырье необходимо предварительно обработать паром для того, чтобы увеличить пластичность. После этого кряжи подаются на окорочный станок, где с заготовки удаляется кора, а вместе с ней грязь и песок, которые часто становятся причиной быстрого затупления лущильных ножей. При помощи пилы кряжи раскраивают на чураки определенной длины. Чурак нужно предварительно оцилиндровать, после чего можно приступать к лущению. Лента шпона, которая выходит из лущильного станка, кладется на конвейер, подающий ее к ножницам. Ножницы режут шпон на листы необходимого формата. По конвейеру шпон укладывается в пачку, которая выносится из-под ножниц и при помощи электрического погрузчика доставляется в сушилку. Сушат продукцию в роликовой сушилке, далее на конвейере его сортируют и складывают по сортам в пачки. Дефектные листы можно склеить. Если на листах имеются сучки, их отправляют на шпонопочиночный станок, где удаляют изъяны и декорируют их вставками из шпона.

Чтобы повысить производительность и удобство работы оператора станки оборудуют гидравлическими подъемниками-центроискателями, которые сами определяют подходящую ось вращения заготовки и совмещают ее с осью вращения центровочных валов.
Лущение пропаренной древесины используется для сосновых, ольховых, березовых лесоматериалов. Из лущеного шпона изготавливают фанеру.
Станок для строгания шпона
Прежде всего, кряжи подвергают поперечному раскрою. Во время этой процедуры кряжи распиливают на отрезки необходимой длины. Все отрезки распиливают вдоль, вследствие чего образуется двухкантный брус. Иногда его распиливают пополам. После этого ванчесы подвергают тепловой обработке в пропарочной камере или автоклаве.
Далее ванчесы нужно острогать на шпонострогальном станке. Строганный шпон сушат в роликовых сушилках, торцуют и пакуют в пачки. В каждом наборе составляется конкретный рисунок. Оттенок и узор древесины должны совпадать в каждом наборе. Именно по этой причине листы шпона, которые получаются из каждого ванчеса во время строгания, складывают, сушат и пакуют в пачки точно в том порядке, в каком они выходили из строгального станка. Когда строгаются одновременно три ванчеса, шпон из каждого из них складывают в три разные пачки. Укомплектованную, высушенную, запакованную и перетянутую шпагатом пачку шпона называют кнолем.

- радиальный
- тангенциальный
- радиально-тангенциальный
- тангенциально-торцовый.
Наиболее привлекательным сырьем для создания шпона является дубовая древесина. Такой шпон используют для облицовки рустикальных предметов мебели элитного сегмента.
Кроме дубового шпона в специализированных магазинах можно встретить кленовый, буковый, липовый материал, а также из красного дерева.
Станок для сшивки шпона
Шпон режут на специализированных аппаратах. Он отличается довольно тонкой и хрупкой структурой. Для того, чтобы отделать поверхность шпоном, его необходимо соединить между собой для получения полотна, скатываемого в рулоны. Шпон соединяют двумя способами:
Эти методы одинаково популярны на мебельных производствах. Сшивку шпона осуществляют на станке или ручным способом. Для небольших мастерских разработаны ручные устройства для склейки или сшивки шпона. При помощи особого устройства клеевую или термонить разогревают, и в виде зигзага наносят на основную сторону.

Ручная сшивка встречается все реже, главным образом, в антикварных, реставрационных и авторских мастерских.
Вы можете встроить плеер с данным видео в сайт. Для этого выберите размер плеера и скопируйте полученный код.
Описание
Максимальная толщина шпона 8 мм. , длина до 900 мм, ширина от 30 до 105 мм.Производительность 20 куб.м. за смену. Скорость и толщину дощечек регулирует компьютер.
- img=»»>
Одна из стадий производства — подача бревен в лущильный станок.
Производственный цикл
Он состоит из нескольких этапов:
На некоторых этапах стоит остановиться чуть подробнее.
Подготовка бревен
Из чего делается фанера при полном цикле производства?
- Из стволов хвойных и лиственных деревьев;
- Из связующего — клеев на основе искусственных смол.
Наиболее типичный материал фанеры — сосна и береза. Несколько реже применяются пихта, лиственница, кедр, ель, тополь, ольха, липа, осина и бук.
Обратите внимание: хвойная и лиственная фанера заметно различается механической прочностью и производится по разным ГОСТ — 3919.1-96 и 3919.2-96 соответственно.
Спиленные и лишенные сучьев бревна окоряются (очищаются от коры) и нарезаются вручную или на торцовочном станке на отрезки одинаковой длины. В зимнее время стволы предварительно выдерживаются в ванне с теплой водой для придания замерзшей древесине необходимой пластичности.
Оцилиндровка и лущение
Как правило, эти две операции выполняются на одном станке. Вначале заготовке придается цилиндрическая форма; затем с нее по сужающейся спирали снимается слой древесины толщиной около миллиметра. Оставшийся черенок в производстве не используется.
Нарезка на листы
Она сопровождается сортировкой материала. Дефектные участки листов вырезаются; полосы небольшой (менее 1,5 м) ширины могут быть использованы для склейки в целый лист.
Нарезка шпона на листы и первичная сортировка.
Затем шпон проходит клеевальцы, где он промазывается связующим.
Справка: в производстве фанеры ФК используется карбамидоформальдегидная смола.
Так называемая техническая фанера ФСФ склеивается фенолформальдегидными смолами, что позволяет отнести это производство к категории вредных.Сушка в прессе
Для сушки листов используется гидравлический пресс с прогревом плит перегретым паром. Типичная температура сушки около 200 градусов. Продолжительность этой части цикла составляет от 30 минут до 2 часов в зависимости от толщины листа.
Сушка осуществляется при интенсивной принудительной вентиляции помещения: как уже говорилось, формальдегиды отнюдь не полезны для здоровья.
Выгрузка из пресса.
Обрезка
Просушенный лист представляет собой неопрятный сэндвич с неровными кромками. Чтобы превратиться в готовое для продажи изделие, он проходит обрезку на распиловочном станке.
Обратите внимание: согласно требованиям ГОСТ, кромки листа должны быть строго перпендикулярны друг другу.
Косина может составлять не более 2 мм на погонный метр.Сортировка
Качество фанеры определяется визуально и, в зависимости от внешнего вида поверхности, позволяет отнести ее к одному из сортов — от элитного до четвертого.
К основным дефектам относятся:
- Живые и выпадающие сучки;
- Разошедшиеся и неразошедшиеся трещины;
- Здоровые и болезненные изменения цвета.
Цена листа в зависимости от сорта может различаться в два раза и более.
Особо стоит отметить два факта:
- Для материала сорта Е (Элита) недопустимы даже резкие переходы цвета и существенные изменения структуры поверхностного слоя шпона;
Фото позволяет оценить разницу между элитным и прочими сортами.
- Расслоение шпона сразу отправляет лист в брак вне зависимости от сорта.
Складирование
Установленная вертикально или под наклоном фанерная плита способна деформироваться под собственным весом благодаря текучести связывающих слои шпона смол.
Кроме того: ферментация может изменить цвет верхнего слоя на ярком солнечном свету.
Именно поэтому содержащаяся в отечественных стандартах инструкция по складированию листов предписывает хранить их строго определенным образом:
- в закрытом помещении с постоянной влажностью;
- защищенными от прямых солнечных лучей;
- в горизонтальном положении, уложенными на поддоны или подкладки.
Особый случай
Чтобы избежать путаницы в терминологии, стоит объяснить одну тонкость. Вопреки названию, перфорированная фанера не имеет к слоистому материалу из шпона никакого отношения.
Так называется лист ХДФ (древесноволокнистая плита высокой плотности, она же — прессованный оргалит) с проделанными в нем через равные промежутки отверстиями. Материал используется при оформлении витрин, в качестве филенок шкафных и внутренних дверей и т.д.
Очумелые ручки
Может ли обычная фанера производиться в условиях небольшой частной мастерской? По полному циклу — едва ли, слишком габаритное оборудование требуется для распаривания, окорки стволов и лущения шпона. А вот склеивать шпон в готовые листы в домашних условиях вполне возможно.
Зачем это нужно? Например, для производства так называемой инженерной паркетной доски, состоящей из фанеры ФК с наклеенным на нее слоем шпона из древесины твердых пород.
Самый очевидный способ наладить кустарное производство — купить клеевальцы и пресс, благо оборудование для производства фанеры б у вполне доступно по стоимости. Однако если фанера своими руками будет производиться не на продажу, а исключительно ради ремонта в собственном доме, оно просто не окупится.
План «Б» состоит в холодной склейке шпона с готовым фанерным листом:
Оклейка фанеры шпоном благородных пород.
- И уложенный на ровное основание лист, и тыльная сторона шпона промазываются клеем ПВА;
- Шпон укладывается на поверхность листа и разглаживается;
- Заготовка придавливается листом толстой (22 — 27 мм) фанеры и пригружается весом 300 — 400 кг, максимально равномерно распределенным по всей поверхности.
Полная просушка клея займет около суток. По прошествии этого времени лист нарезается на доски нужного размера на обычной стационарной циркулярке. Затем фрезерный станок или ручной фрезер для дерева с направляющей используется для снятия фаски глубиной около миллиметра.
Обратите внимание: по понятным причинам изготовленный таким образом паркет можно укладывать только на клей.
В отсутствие кликовых замков о плавающей укладке речь не идет.Заключение
Надеемся, что наш материал покажется уважаемому читателю достаточно познавательным. Обсудить его можно в комментариях, а видео в этой статье предложит дополнительную тематическую информацию. Успехов!
Дорогостоящие сорта лесоматериалов являются прекрасным сырьем для создания предметов мебели, однако не все люди могут себе позволить такую дорогую продукцию. С целью экономии ценных пород древесины и снижения стоимости конечного продукта и был придуман шпон. Этот материал сегодня крайне популярен для облицовки мебели. Шпон на 100% повторяет узор, текстуру и оттенок натуральной древесины.
Для создания шпона на производствах пользуются специальными станками. Шпон бывает:
- лущеный
- строганый
- пиленый.
Соответственно и станок для производства шпона бывает трех типов.
Лущильный станок для производства шпона
Для реализации лущения шпона сырье необходимо предварительно обработать паром для того, чтобы увеличить пластичность. После этого кряжи подаются на окорочный станок, где с заготовки удаляется кора, а вместе с ней грязь и песок, которые часто становятся причиной быстрого затупления лущильных ножей.
При помощи пилы кряжи раскраивают на чураки определенной длины. Чурак нужно предварительно оцилиндровать, после чего можно приступать к лущению. Лента шпона, которая выходит из лущильного станка, кладется на конвейер, подающий ее к ножницам. Ножницы режут шпон на листы необходимого формата.
По конвейеру шпон укладывается в пачку, которая выносится из-под ножниц и при помощи электрического погрузчика доставляется в сушилку. Сушат продукцию в роликовой сушилке, далее на конвейере его сортируют и складывают по сортам в пачки. Дефектные листы можно склеить.
Если на листах имеются сучки, их отправляют на шпонопочиночный станок, где удаляют изъяны и декорируют их вставками из шпона.
Такой станок для шпона позволяет получить листовой материал толщиной от 1,5 до 5 мм из разнообразных сортов лесоматериалов. На большинстве станков имеется система, которая позволяет в автоматическом режиме устанавливать бревно для последующей обработки.
Чтобы повысить производительность и удобство работы оператора станки оборудуют гидравлическими подъемниками-центроискателями, которые сами определяют подходящую ось вращения заготовки и совмещают ее с осью вращения центровочных валов.
Лущение пропаренной древесины используется для сосновых, ольховых, березовых лесоматериалов. Из лущеного шпона изготавливают фанеру.
Станок для строгания шпона
Прежде всего, кряжи подвергают поперечному раскрою. Во время этой процедуры кряжи распиливают на отрезки необходимой длины. Все отрезки распиливают вдоль, вследствие чего образуется двухкантный брус. Иногда его распиливают пополам. После этого ванчесы подвергают тепловой обработке в пропарочной камере или автоклаве.
Далее ванчесы нужно острогать на шпонострогальном станке. Строганный шпон сушат в роликовых сушилках, торцуют и пакуют в пачки. В каждом наборе составляется конкретный рисунок. Оттенок и узор древесины должны совпадать в каждом наборе.
Именно по этой причине листы шпона, которые получаются из каждого ванчеса во время строгания, складывают, сушат и пакуют в пачки точно в том порядке, в каком они выходили из строгального станка. Когда строгаются одновременно три ванчеса, шпон из каждого из них складывают в три разные пачки.
Укомплектованную, высушенную, запакованную и перетянутую шпагатом пачку шпона называют кнолем.
Станок для изготовления шпона позволяет создать из дорогостоящих сортов лесоматериалов, которые отличаются необычной текстурой, тонкие листы. Такой материал отлично подходит для фанерования. Методы создания шпона:
- радиальный
- тангенциальный
- радиально-тангенциальный
- тангенциально-торцовый.
Наиболее привлекательным сырьем для создания шпона является дубовая древесина. Такой шпон используют для облицовки рустикальных предметов мебели элитного сегмента.
Кроме дубового шпона в специализированных магазинах можно встретить кленовый, буковый, липовый материал, а также из красного дерева.
Станок для сшивки шпона
Шпон режут на специализированных аппаратах. Он отличается довольно тонкой и хрупкой структурой. Для того, чтобы отделать поверхность шпоном, его необходимо соединить между собой для получения полотна, скатываемого в рулоны. Шпон соединяют двумя способами:
Эти методы одинаково популярны на мебельных производствах. Сшивку шпона осуществляют на станке или ручным способом. Для небольших мастерских разработаны ручные устройства для склейки или сшивки шпона. При помощи особого устройства клеевую или термонить разогревают, и в виде зигзага наносят на основную сторону.
Сегодня станки для сшивки шпона представляют собой небольшие аппараты, функционирующие в автономном режиме. Управление такой машиной осуществляет один специалист. Вся работа на них производится четко, качественно и достаточно быстро.
Ручная сшивка встречается все реже, главным образом, в антикварных, реставрационных и авторских мастерских.
Источник: http://wood-prom.ru/clauses/promyshlennoe-oborudovanie/stanok-dlya-shpona
Как делают фанеру: подготовка бревен, оцилиндровка и лущение, нарезка на листы, сушка в прессе, обрезка, сортировка и складирование
Все фото из статьи
Тема этой статьи — изготовление фанеры. Мы познакомимся с полным циклом ее производства — от окорки древесных стволов, до отгрузки готового материала на склад. Кроме того, мы выясним, можно ли производить фанеру в домашних условиях.
Одна из стадий производства — подача бревен в лущильный станок.
Производственный цикл
Он состоит из нескольких этапов:
На некоторых этапах стоит остановиться чуть подробнее.
Подготовка бревен
Из чего делается фанера при полном цикле производства?
- Из стволов хвойных и лиственных деревьев;
- Из связующего — клеев на основе искусственных смол.
Наиболее типичный материал фанеры — сосна и береза. Несколько реже применяются пихта, лиственница, кедр, ель, тополь, ольха, липа, осина и бук.
Обратите внимание: хвойная и лиственная фанера заметно различается механической прочностью и производится по разным ГОСТ — 3919.1-96 и 3919.2-96 соответственно.
Спиленные и лишенные сучьев бревна окоряются (очищаются от коры) и нарезаются вручную или на торцовочном станке на отрезки одинаковой длины. В зимнее время стволы предварительно выдерживаются в ванне с теплой водой для придания замерзшей древесине необходимой пластичности.
Окорка ствола.
Оцилиндровка и лущение
Как правило, эти две операции выполняются на одном станке. Вначале заготовке придается цилиндрическая форма; затем с нее по сужающейся спирали снимается слой древесины толщиной около миллиметра. Оставшийся черенок в производстве не используется.
Нарезка на листы
Она сопровождается сортировкой материала. Дефектные участки листов вырезаются; полосы небольшой (менее 1,5 м) ширины могут быть использованы для склейки в целый лист.
Нарезка шпона на листы и первичная сортировка.
Затем шпон проходит клеевальцы, где он промазывается связующим.
Справка: в производстве фанеры ФК используется карбамидоформальдегидная смола.
Так называемая техническая фанера ФСФ склеивается фенолформальдегидными смолами, что позволяет отнести это производство к категории вредных.
Сушка в прессе
Для сушки листов используется гидравлический пресс с прогревом плит перегретым паром. Типичная температура сушки около 200 градусов. Продолжительность этой части цикла составляет от 30 минут до 2 часов в зависимости от толщины листа.
Сушка осуществляется при интенсивной принудительной вентиляции помещения: как уже говорилось, формальдегиды отнюдь не полезны для здоровья.
Выгрузка из пресса.
Обрезка
Просушенный лист представляет собой неопрятный сэндвич с неровными кромками. Чтобы превратиться в готовое для продажи изделие, он проходит обрезку на распиловочном станке.
Обратите внимание: согласно требованиям ГОСТ, кромки листа должны быть строго перпендикулярны друг другу.
Косина может составлять не более 2 мм на погонный метр.
Сортировка
Качество фанеры определяется визуально и, в зависимости от внешнего вида поверхности, позволяет отнести ее к одному из сортов — от элитного до четвертого.
К основным дефектам относятся:
- Живые и выпадающие сучки;
- Разошедшиеся и неразошедшиеся трещины;
- Здоровые и болезненные изменения цвета.
Цена листа в зависимости от сорта может различаться в два раза и более.
Особо стоит отметить два факта:
- Для материала сорта Е (Элита) недопустимы даже резкие переходы цвета и существенные изменения структуры поверхностного слоя шпона;
Фото позволяет оценить разницу между элитным и прочими сортами.
- Расслоение шпона сразу отправляет лист в брак вне зависимости от сорта.
Складирование
Установленная вертикально или под наклоном фанерная плита способна деформироваться под собственным весом благодаря текучести связывающих слои шпона смол.
Кроме того: ферментация может изменить цвет верхнего слоя на ярком солнечном свету.
Именно поэтому содержащаяся в отечественных стандартах инструкция по складированию листов предписывает хранить их строго определенным образом:
- в закрытом помещении с постоянной влажностью;
- защищенными от прямых солнечных лучей;
- в горизонтальном положении, уложенными на поддоны или подкладки.
Складирование материала.
Особый случай
Чтобы избежать путаницы в терминологии, стоит объяснить одну тонкость. Вопреки названию, перфорированная фанера не имеет к слоистому материалу из шпона никакого отношения.
Так называется лист ХДФ (древесноволокнистая плита высокой плотности, она же — прессованный оргалит) с проделанными в нем через равные промежутки отверстиями. Материал используется при оформлении витрин, в качестве филенок шкафных и внутренних дверей и т.д.
Перфорированный ХДФ.
Очумелые ручки
Может ли обычная фанера производиться в условиях небольшой частной мастерской? По полному циклу — едва ли, слишком габаритное оборудование требуется для распаривания, окорки стволов и лущения шпона. А вот склеивать шпон в готовые листы в домашних условиях вполне возможно.
Зачем это нужно? Например, для производства так называемой инженерной паркетной доски, состоящей из фанеры ФК с наклеенным на нее слоем шпона из древесины твердых пород.
Самый очевидный способ наладить кустарное производство — купить клеевальцы и пресс, благо оборудование для производства фанеры б у вполне доступно по стоимости. Однако если фанера своими руками будет производиться не на продажу, а исключительно ради ремонта в собственном доме, оно просто не окупится.
План «Б» состоит в холодной склейке шпона с готовым фанерным листом:
Оклейка фанеры шпоном благородных пород.
- И уложенный на ровное основание лист, и тыльная сторона шпона промазываются клеем ПВА;
- Шпон укладывается на поверхность листа и разглаживается;
- Заготовка придавливается листом толстой (22 — 27 мм) фанеры и пригружается весом 300 — 400 кг, максимально равномерно распределенным по всей поверхности.
Полная просушка клея займет около суток. По прошествии этого времени лист нарезается на доски нужного размера на обычной стационарной циркулярке. Затем фрезерный станок или ручной фрезер для дерева с направляющей используется для снятия фаски глубиной около миллиметра.
Внешний вид получившегося материала не уступит покупному паркету.
Обратите внимание: по понятным причинам изготовленный таким образом паркет можно укладывать только на клей.
В отсутствие кликовых замков о плавающей укладке речь не идет.
Заключение
Источник: https://rubankom.com/materialy/proizvodnye/fanera/1917-kak-delayut-faneru
Pereosnastka.ru
Конструкция лущильных станков
К
атегория:
Производство клееной фанеры
Конструкция лущильных станков
Лущильные станки по техническим показателям подразделяют:- по наибольшему расстоянию между центрами шпинделей. Это расстояние определяет максимально возможную длину ножа и длину чураков, подлежащих лущению.
Наиболее распространенными являются станки для лущения чураков длиной 1350, 1650, 1950 мм. Длина чурака определяется размерами листов шпона;
По высоте центров шпинделей над станиной.
Высота центров определяется наибольшим радиусом чурака с припуском 100-150 мм.
Отечественные станки рассчитаны на лущение сырья диаметром 60-70 см. Иностранные фирмы выпускают станки для лущения чураков диаметром более 80 см.
Лущильный станок ЛУ-17-4 состоит из следующих основных частей: станины, двух шпиндельных бабок, суппорта кинематического узла, механизма поджима, центровочно-загрузочного приспособления.
Станина станка служит для крепления всех основных частей станка, восприятия динамических нагрузок резания и вспомогательных операций лущения.
Станина представляет собой жесткую сварную раму из двутавровых балок, на которой установлены чугунные шпиндельные бабки. В раме имеется щель для выброса карандаша вниз на транспортер.
Шпиндельные бабки (правая и левая) служат для закрепления чурака и придают ему вращательное движение.
На рис. 2 показан разрез правой шпиндельной бабки. Шпиндельная бабка имеет два телескопических шпинделя с соответствующими кулачками.
Наличие большого кулачка позволяет избежать раскола чураков в начальный период лущения, а малый кулачок дает возможность лущить карандаш диаметром до 70 мм.
Зажимают чурак на станке следующим образом.
Рис. 1. Станок ЛУ-17-4:
1 — станина, 2 — левая шпиндельная бабка, 3 — центровочно-загрузоч-ное приспособление, 4 — сварная балка, 5 — прижимные ролики, 6 — правая шпиндельная бабка, 7 — механизм прижима чурака, 8 — гидропривод, 9 — пустотелый вал, 10 — чугунная балка, 11 — суппорт, 12 — привод ускоренного перемещения суппорта, 13 — электродвигатель, 14 — механизм подачи чураков
Насос подает масло из гидросистемы в распределитель. Поршень под давлением перемещает шток в большом гидроцилиндре на величину до 150 мм. Шток поршня, жестко связанный с подвижным подшипниковым узлом малого шпинделя, перемещается также на длину гидроцилиндра. На подшипниковом узле малого шпинделя закреплен малый шпиндель. Последний, свободно перемещаясь внутри пустотелого большого шпинделя, кулачком зажимает чурак.
Разрез правой шпиндельной бабки станка ЛУ-17-4:
1 — поршень, 2 — большой гидроцилиндр, 3 — шток поршня, 4 — подвижной подшипниковый узел малого шпинделя, 5 — корпус, 6 — шли-цевая втулка, 7- шпонка шестерни, 8 — шестерня, 9- шпонка звездочки, 10 — звездочка, 11 — гнльза, 12-пустотелый большой шпиндель, 13 — малый кулачок, 14 — большой кулачок, 15 — малый шпиндель, 16 — сферические роликовые подшипники, 17 — шлицевая втулка большого шпинделя, 18 — рычаг, 19 — подвижный подшипниковый узел большого шпинделя, 20 — шлицы, 21 — шпонка, 22 — скользящие шпонки, 23-малый гидроцилиндр, 24 — малый поршень со штоком, 25 — шпилька
Масло одновременно поступает в большой и малый гидроцилиндры. Малый поршень со штоком перемещается в сторону чурака и, действуя на рычаг, смещает подвижный подшипниковый узел большого шпинделя. Величина смещения малого поршня со штоком зависит от размера малого гидроцилиндра и составляет 150 мм. Закрепленный в подвижном подшипниковом узле пустотелый большой шпиндель перемещается на указанную величину и зажимает большим кулачком чурак.
Таким образом, два шпинделя одновременно зажимают чурак закрепленными на них кулачками. Работа левого шпинделя аналогична работе правого.
После зажима чураку придают вращательное движение от главного вала через шестерню. Вращающаяся шестерня через шпонку приводит во вращение гильзу, которая с помощью шлицевой втулки 6 вращает пустотелый большой шпиндель. Большой шпиндель через шлицевую втулку большого шпинделя приводит во вращение малый шпиндель.
Скользящие шпонки предохраняют от вращения подвижные подшипниковые узлы; одновременно они являются направляющими при горизонтальном перемещении этих узлов.
В процессе лущения, когда лущильный нож подходит к вращающемуся кулачку большого шпинделя, гидросистема возвращает большой шпиндель в начальное положение. То же происходит, когда лущильный нож приближается к кулачкам малого шпинделя.
Система подвода масла к гидроцилиндрам для возврата шпинделей в исходное положение была показана на рис. 1.
Подключение гидросистемы к шпиндельным бабкам происходит таким образом, что при подаче масла на поршни большого и малого гидроцилиндров эти поршни возвращаются в исходное положение. Благодаря пустотелой конструкции большого шпинделя и шлицевому соединению двух шпинделей достигается их независимое передвижение относительно друг друга в горизонтальной плоскости.
Благодаря применению шпиндельных бабок стало возможным долущивать чурак диаметром до 70 мм на станке ЛУ-17-4, отказавшись от использования на этой операции малых лущильных станков.
Суппорт лущильного станка предназначен для закрепления ножа, его регулировки, настройки и для придания ему возвратно-поступательного движения (к чураку и обратно).
Суппорт состоит из двух боковых ползунов, перемещающихся по горизонтальным съемным параллелям, расположенным на станине станка; ножевой траверсы — для крепления и регулировки лущильного ножа; траверсы прижимной линейки — для крепления и регулировки прижимной линейки станка; двух суппортных винтов, сообщающих суппорту возвратно-поступательное движение.
Суппорт имеет дополнительные верхние и нижние направляющие, с которыми связана ножевая траверса и при помощи которых изменяется угол резания во время лущения чураков. Прижимная линейка соединена с ножевой траверсой эксцентриковым валом.
Механизм поджима чурака устраняет прогиб чурака в конце лущения под действием сил резания.
Этот механизм состоит из чугунной балки, закрепленной на пустотелом валу, двух пар прижимных роликов, гидроцилиндра перемещения роликов, смонтированного на стальной сварной балке, соединяющей обе бабки станка, а также устройства для регулировки синхронности перемещения ножа и прижимных роликов. Блок прижимных роликов шарнирно соединен с балкой и со штоком гидроцилиндра. Цапфы пустотелого вала установлены в подшипниках, корпуса которых прикреплены к бабкам станка.
Кинематический узел станка служит для связи рабочих органов станка (суппорта и шпиндельных бабок) и придания им рабочих движений.
На рис. 3 приведена кинематическая схема лущильного станка ЛУ-17-4. Сцентрированный и зажатый в шпинделях станка чурак (работа центровочно-загрузочного приспособления будет описана ниже) приводится во вращение от главного вала через шестерни. Главный вал соединен с электродвигателем через клиноременную передачу и электромагнитную муфту.
Кинематическая схема лущильного станка ЛУ-17-4:
1 — главный электродвигатель, 2 и 22 — клиноременная передача, 3 — электромагнитная муфта, 4, 5, 6 — шестерни, 7 — главный вал, 8, 9, 10, 16, 17, 18 — звездочки, 11 — промежуточный вал, 12-правый пустотелый вал, 13 — кулачковая муфта, 14 — передаточный вал, 15 — левый пустотелый вал, 19, 20 — конические шестерни, 21 — суппортный вал, 23 — электродвигатель ускоренного подвода и отвода суппорта, 24 — суппортные винты, 25 — поршни гидроцилиндра следящей системы, 26 — пневмоцилиндры центровки чураков, 27 — механизм подачи чураков, 28 — рукоятка переключения ускоренной и рабочей подачи суппорта, 29 — электромагнит; а, б, в, г — сменные шестерни набора толщин шпона
Левый шпиндель приводится во вращение от главного вата также через шестерни. Шестерня, вращая гильзу правого шпинделя, сообщает вращение звездочке. Звездочка втулочно-роликовой цепью соединена с промежуточным валом через звездочку, жестко закрепленную на промежуточном валу.
Вал приводит во вращение правый пустотелый вал через сменные шестерни а, б, в и г. Через кулачковую муфту, посаженную на скользящую шпонку, вращение с пустотелого вала передается на передаточный вал.
Через звездочку, жестко закрепленную на валу, и втулочно-роли-ковую цепь вращение передается на суппортный вал через звездочку.
Система конических шестерен, приводит в движение суппортные винты, а последние — суппорт, который перемещается по направляющим к вращающемуся чураку. Поступательное движение суппорта осуществляется благодаря суппортным гайкам, жестко связанным с корпусом суппорта.
Величина подачи суппорта за один оборот чурака, т. е.
толщина снимаемого шпона, зависит от расположения сменных шестерен а, б, в и г, так как жесткая связь во всех звеньях кинематической схемы, кроме сменных шестерен а, б, в и г, обеспечивает постоянное передаточное отношение.
Из таблицы видно, что изменение толщины шпона от 0,2 до 3,2 мм достигается в основном сменой шестерни а при взаимном расположении блок-шестерен (б — в) в двух положениях.
К концу лущения, когда диаметр чурака будет приближаться к диаметру малого кулачка шпинделя, рабочая подача суппорта прекращается при переводе кулачковой муфты в нейтральное положение рукояткой. Одно-вРеменно электромагнитную муфту выводят из соединения со шкивом клиноременной передачи и вращение карандаша в шпинделях станка прекращается.
С помощью электромагнитной муфты можно останавливать Движение главного вала, не выключая главного электродвигателя, что целесообразно экономически, так как пусковые моменты при включении электродвига-едя отрицательно сказываются на электроснабжении предприятия.
Гидросистема возвращает шпиндели в исходное положение, а карандаш через щель в станине удаляется транспортером из цеха.
Вращением суппортного вала в обратную сторону по отношению к рабочему движению электродвигателя через клиноременную передачу производится возврат суппорта в исходное положение. Суппорт подают в исходное положение на ускоренной подаче, что дает значительный выигрыш во времени. После этого электродвигатель выключают. В таком положении лущильный станок готов для лущения очередного чурака. Далее операция повторяется, как указано выше.
Кроме рабочей подачи, которая обеспечивает получение шпона заданной толщины, лущильный станок имеет ускоренную подачу, которая применяется в начальный период лущения для снятия больших неровностей на чураке.
Включение ускоренной подачи производится муфтой левого пустотелого вала. Вращение вала через муфту передается валу. Далее вращение передается как при рабочей подаче. Вращение вала 15 осуществляется от пала звездочками и втулочно-роликовой цепью.
В этом случае система сменных шестерен а, б, в иг отключена и в работе участия не принимает.
После окончания обдирки (на ускоренной подаче суппорта) передвигают рукояткой кулачковую муфту, тем самым отключая вал и включая вал. Далее происходит процесс лущения на рабочей подаче. Электромагнит служит для автоматического перевода кулачковой муфты в нейтральное положение.
Рис. 4. Схема устройства центровочно-загрузочного приспособления:
1 — свободно вращающаяся ось, 2- пневматический цилиндр, 3 — рычаг, 4 — груз, 5 — верхняя шестерня, 6 — сектор без зубцов, 7 — клещевые захваты, 8 — двухходовой кран, 9 — нижняя шестерня, 10 — зубчатые сектора
Центровочно-загрузочное приспособление служит для правильной центровки чурака, т. е. сокращения отпада шпона в процессе лущения, и для загрузки чурака в лущильный станок.
На лущильных станках устанавливают, как правило, Центровочно-загрузочное приспособление системы А. Жукова, В. П. Банко и А. А. Порохина. Благодаря этому приспособлению стало возможным одновременно выполнять центровку чурака и подачу его к шпинделям лущильного станка.
Центровочно-загрузочное приспособление состоит из Двух пневматических цилиндров, свободно поворачивающихся на осях, прикрепленных к станине лущильного станка. На выступающих ступицах нижних шестерен укреплены рычаги с разрезными хомутами, что позволяет крепить рычаги на ступице в любом положении. Рычаги шарнирно соединены со штоками поршней пневматических цилиндров.
Подъем и центровка чурака осуществляется поворотом рукоятки двухходового крана. При этом сжатый воздух поступает в пневматические цилиндры. При подъеме поршней штоки поворачивают рычаги, которые при помощи шестерен и зубчатых секторов сводят клещевые захваты до соприкосновения их с поверхностью чурака.
Во время зажима чурака шпинделями происходит его осевое перемещение. Неровности чурака могут несколько разводить губки клещевых захватов за счет компрессии воздуха в цилиндрах, не создавая в звеньях механизма дополнительных усилий.
Скорость сжатия клещевых захватов регулируется степенью открытия воздушного крана.
Разведение клещевых захватов осуществляется под действием грузов, закрепленных на концах рычагов, или пружинами, как показано на рис. 19. Повернув рукоятку двухходового крана, открывают отверстие для выхода воздуха.
Приспособление работает при давлении в сети 4- 4,5 ати. Расход воздуха на один лущильный станок составляет 0,7 м3/ч. Верхние и нижние клещи закреплены на валах с помощью сквозных призматических шпонок в соответствующих положениях по отношению к зубчатым секторам.
Регулирование взаимного положения верхних и нижних клещей, обеспечивающее симметричность их движения (от чего зависит точность центровки), осуществляется при помощи особого устройства. Верхние секторы этого устройства двойные. Сектор без зубцов жестко скреплен с осью верхней клешни, а зубчатый сектор сидит на оси свободно и связан с верхней шестерней. Он может смещаться относительно сектора и жестко скрепляться с ним в нужном положении.
Для повышения точности центровки угол вилок доведен до 90°, нижние вилки жестко соединены с клещами, а верхние оставлены свободно вращающимися в пальцах. Для устранения наезда суппорта на клещи (при неполном их разведении) на станке установлена электрическая автоблокировка.
Кроме перечисленных выше основных частей, лущильный станок имеет также механизм подачи чураков, гидропривод, электрооборудование с автоблокировкой.
Лущильный станок был изобретен еще в конце XIX века. Без этого оборудования сегодня просто невозможно представить производство фанеры и изготовление спичек. За прошедшие сто с лишним лет было создано немало конструкций и модификаций станков, но принцип остался прежним: срезание с коротких бревен-чураков тонкой ленты древесины.
Но при многих достоинствах у традиционных лущильных станков есть и серьезные недостатки конструкции, связанные с необходимостью использования кулачков, которые вонзаются в торцы чураков и заставляют их вращаться. Нередко чурак проворачивается в кулачках и дальнейшее лущение становится невозможным. Как правило, это происходит из-за сердцевинной гнили, особенно часто встречающейся в осиновых чураках. В результате получаются так называемые провертыши — чураки большого диаметра, непригодные для дальнейшей обработки на лущильном станке.
Еще один недостаток традиционной техники лущения — потери древесины в виде остатков от лущения, так называемых карандашей. Диаметр «карандаша» зависит от диаметра внутренних кулачков станка и длины чурака. При длине чурака 1,6 м диаметр «карандаша» обычно 75 мм, а при длине 2,5 м — до 100 мм. Потери древесины составляют 10-12% объема чурака.
Рис. 1. Схема бесшпиндельного лущильного станка
Желание избавиться от этих недостатков привело конструкторов оборудования к идее бесшпиндельного лущильного станка. Впервые, вероятно, эта идея была реализована фирмой Raute (Финляндия) еще в 1990-е годы (рис. 1) в станках для лущения чураков максимальным диаметром 400 мм и длиной 1,7 и 2,8 м.
Вращение чураков в станке осуществлялось за счет приводных рифленых роликов, расположенных под углом 120° друг к другу. Верхний валец служил одновременно прижимной линейкой, а нижние перемещались прямолинейно по мере уменьшения диаметра чурака. Каждый валец оснащен индивидуальным гидроприводом. В процессе лущения ножевой суппорт немного поворачивался относительно чурака, что обеспечивало оптимальные параметры лущения чурака до диаметра карандаша 50 мм. Положение валов, толщина шпона и угол резания регулировались микро-ЭВМ. Диаметр чурака измерялся до его подачи в станок для определения просвета между валами.
Технология бесшпиндельного лущения шпона в Европе по какой-то причине не получила развития, но широко распространилась в азиатских странах. В Юго-Восточной Азии на многих предприятиях применяют бесшпиндельное лущение тонкомерного сырья и долущивание карандашей. Обычно лущильная линия состоит из окорочно-оцилиндровочного станка, бесшпиндельного лущильного станка с роторными ножницами.
Рис. 2. Линия лущения шпона RD2800 Raute
В окорочно-оцилиндровочном станке чурак зажимается тремя приводными зубчатыми роликами и приводится во вращение. Нож, аналогичный лущильному, удаляет кору и неровности, придает чураку цилиндрическую форму. Начальный диаметр чурака — до 500 мм, после оцилиндровки — не более 360 мм.
Передающий конвейер выравнивает чураки и подает их на бесшпиндельный лущильный станок, оснащенный тремя приводными роликами с мелкой насечкой и лущильным ножом. Максимальный диаметр чурака — 360 мм. Диаметр карандаша — 30-40 мм в зависимости от модели станка. Толщина получаемого шпона — от 1,0 до 3,0 мм. Линейная скорость лущения — 40 м/мин. После лущения шпон поступает на роторные ножницы, где в автоматическом режиме рубится на форматные листы.
Технология лущения тонкомерных чураков будет интересна российским предприятиям, которым приходится работать в наших непростых условиях. Китайские лущильные станки работают и в России, например на фанерном заводе «ИнвестФорэст» в пгт Суслонгер в Республике Марий Эл, на Уфимском фанерно-плитном комбинате, на заводе «Сатис-Мебель» под Нижним Новгородом.
Последнее предложение фирмы Weihai Hanvy из Китая — линия HVPL1326 с окорочно-оцилиндровочным станком и бесшпиндельным лущильным станком с ЧПУ Siemens HXQ2700 и электроникой от фирмы Scheider. Новый станок для бесшпиндельного лущения предназначен для обработки чураков длиной 2,6 м и максимальным диаметром 500 мм. Диаметр карандаша — 40 мм, скорость лущения — 40-100 м/мин. В станке предусмотрено изменение угла наклона ножа в ходе лущения, пневматическое крепление инструмента и автоматическое регулирование толщины шпона.
Рис. 3. Бесшпиндельный лущильный станок D1700 G26 и схема его работы
Фирма Raute не оставила идею создания бесшпиндельного лущильного станка и разработала линии RD1400, RD1700 (рис. 3) и RD2800, в составе каждой из которых четыре агрегата с необходимыми транспортным связями: окорочно-оцилиндровочный станок, лущильный станок, роторные ножницы и вакуумный укладчик шпона (рис. 2).
Сырье (чураки заданной длины) подается на поперечный конвейер с дозирующими упорами. В процессе окорки и оцилиндровки чураки приобретают необходимую для лущения цилиндрическую форму и передаются на лущильный станок при помощи еще одного поперечного конвейера.
Рис. 4. Схема зоны лущения с прижимным роликом
Кинематическая схема станка претерпела принципиальные изменения в сравнении с предыдущими моделями. Чурак подается в станок сверху, затем поджимается к двум приводным роликам с мелкой насечкой, которые установлены на едином суппорте. В окорочно-оцилиндровочном станке подача роликового суппорта гидравлическая, а в лущильном станке — электромеханическая. Третий ролик находится на неподвижном суппорте с лущильным ножом и играет роль прижимной линейки (рис. 4).
Чурак в станке самоцентрируется по трем точкам. При подаче роликового суппорта вперед чурак поджимается к ножевому суппорту, и выполняется лущение шпона. Толщина шпона задается с пульта управления установкой зазора между ножом и прижимным роликом, в ходе лущения угол резания автоматически меняется для обеспечения оптимальных параметров лущения (рис. 5).
В цепочке за лущильным станком установлены роторные ножницы для рубки шпона. Они подрубают передний край ленты шпона, разделяя форматный шпон и отходы. Передняя кромка листа шпона распознается при помощи фотоэлементов. Далее прохождение шпона по цепочке контролируется с помощью импульсного кодирующего устройства. Рубка выполняется при вращении ножа, расположенного над нижним резиновым роликом. На ножевом вале установлены три ножа. Автономный датчик системы распознавания контролирует пуск и остановку рубки шпона.
Рис. 5. Изменение угла резания в ходе лущения чурака
За ножницами расположен выходной конвейер с типпельным устройством для отсекания от потока кусков и неформатного шпона. Распознавание осуществляется при помощи фотоэлементов. Далее прохождение шпона по линии контролируется с помощью импульсного кодирующего устройства.
На ножевом валу установлены три ножа. Рубка шпона выполняется при вращении ножа, расположенного над нижним резиновым роликом. Автономный датчик системы распознавания контролирует пуск и остановку процесса рубки шпона.
После ножниц расположен выходной конвейер с типпельным устройством для отсекания кусков и неформатного шпона от потока. Распознавание осуществляется при помощи фотоэлементов, установленных перед типпелем. Форматные листы шпона укладываются стопоукладчиком на подъемник (в базовой модели могут быть один или два подъемника). Управление высотой укладки контролируется фотоэлементом. Полная стопа шпона выкатывается из стопоукладчика при помощи неприводного рольганга. Под линией находится поперечный конвейер необходимой длины для удаления отходов.
Линия RauteLite предназначена для лущения чураков из мягких и твердых пород древесины длиной 3/4/5/6/8 футов (0,9-2,4 м) и диаметром 120-350 мм. После оцилиндровки диаметр чурака может быть 80-300 мм, диаметр карандаша — 30-35 мм. На линии можно получать качественный шпон толщиной 1,2-2,2 мм c разнотолщинностью ±0,1 миллиметра.
Особо следует отметить, что в состав линии лущения входит система OPG (Optimum Peeling Geometry), с помощью которой посредством сервоконтроля достигается синхронизация скорости подачи роликов, изменение величины зазора между ножом и прижимным роликом, изменение заднего угла ножа в процессе лущения. Эта система осуществляет тотальный контроль всех параметров процесса — с момента начала лущения до удаления карандаша, что позволяет обеспечить высокую стабильность толщины шпона.
Подобные линии вряд ли полностью заменят традиционные лущильные станки, но могут занять свою нишу в линейке оборудования для производства лущеного шпона из маломерного сырья и долущивания карандашей. По расчетам автора, уменьшение диаметра карандаша с 75 до 35 мм позволяет увеличить выход шпона на 7,6% (при среднем диаметре чурака 240 мм), поэтому у подобной техники хорошие перспективы при долущивании карандашей и провертышей.
При выполнении этой задачи в линию уже не нужно включать окорочно-лущильный станок. Именно такую укороченную линию фирма Raute поставила на комбинат «СВЕЗА Кострома», в конце 2017 года линия была пущена.
Владимир ВОЛЫНСКИЙ
Все фото из статьи
Тема этой статьи — изготовление фанеры. Мы познакомимся с полным циклом ее производства — от окорки древесных стволов, до отгрузки готового материала на склад. Кроме того, мы выясним, можно ли производить фанеру в домашних условиях.
Одна из стадий производства — подача бревен в лущильный станок.
Производственный цикл
Он состоит из нескольких этапов:
На некоторых этапах стоит остановиться чуть подробнее.
Подготовка бревен
Из чего делается фанера при полном цикле производства?
- Из стволов хвойных и лиственных деревьев;
- Из связующего — клеев на основе искусственных смол.
Наиболее типичный материал фанеры — сосна и береза. Несколько реже применяются пихта, лиственница, кедр, ель, тополь, ольха, липа, осина и бук.
Обратите внимание: хвойная и лиственная фанера заметно различается механической прочностью и производится по разным ГОСТ — 3919.1-96 и 3919.2-96 соответственно.
Спиленные и лишенные сучьев бревна окоряются (очищаются от коры) и нарезаются вручную или на торцовочном станке на отрезки одинаковой длины. В зимнее время стволы предварительно выдерживаются в ванне с теплой водой для придания замерзшей древесине необходимой пластичности.
Окорка ствола.
Оцилиндровка и лущение
Как правило, эти две операции выполняются на одном станке.
Вначале заготовке придается цилиндрическая форма; затем с нее по сужающейся спирали снимается слой древесины толщиной около миллиметра. Оставшийся черенок в производстве не используется.
Нарезка на листы
Она сопровождается сортировкой материала. Дефектные участки листов вырезаются; полосы небольшой (менее 1,5 м) ширины могут быть использованы для склейки в целый лист.
Нарезка шпона на листы и первичная сортировка.
Затем шпон проходит клеевальцы, где он промазывается связующим.
Справка: в производстве фанеры ФК используется карбамидоформальдегидная смола.
Так называемая техническая фанера ФСФ склеивается фенолформальдегидными смолами, что позволяет отнести это производство к категории вредных.
Сушка в прессе
Для сушки листов используется гидравлический пресс с прогревом плит перегретым паром.
Типичная температура сушки около 200 градусов.
Продолжительность этой части цикла составляет от 30 минут до 2 часов в зависимости от толщины листа.
Сушка осуществляется при интенсивной принудительной вентиляции помещения: как уже говорилось, формальдегиды отнюдь не полезны для здоровья.
Выгрузка из пресса.
Обрезка
Просушенный лист представляет собой неопрятный сэндвич с неровными кромками. Чтобы превратиться в готовое для продажи изделие, он проходит обрезку на распиловочном станке.
Обратите внимание: согласно требованиям ГОСТ, кромки листа должны быть строго перпендикулярны друг другу.
Косина может составлять не более 2 мм на погонный метр.
Сортировка
Качество фанеры определяется визуально и, в зависимости от внешнего вида поверхности, позволяет отнести ее к одному из сортов — от элитного до четвертого.
К основным дефектам относятся:
- Живые и выпадающие сучки;
- Разошедшиеся и неразошедшиеся трещины;
- Здоровые и болезненные изменения цвета.
Цена листа в зависимости от сорта может различаться в два раза и более.
Особо стоит отметить два факта:
- Для материала сорта Е (Элита) недопустимы даже резкие переходы цвета и существенные изменения структуры поверхностного слоя шпона;
Фото позволяет оценить разницу между элитным и прочими сортами.
- Расслоение шпона сразу отправляет лист в брак вне зависимости от сорта.
Складирование
Установленная вертикально или под наклоном фанерная плита способна деформироваться под собственным весом благодаря текучести связывающих слои шпона смол.
Кроме того: ферментация может изменить цвет верхнего слоя на ярком солнечном свету.
Именно поэтому содержащаяся в отечественных стандартах инструкция по складированию листов предписывает хранить их строго определенным образом:
- в закрытом помещении с постоянной влажностью;
- защищенными от прямых солнечных лучей;
- в горизонтальном положении, уложенными на поддоны или подкладки.
Складирование материала.
Особый случай
Чтобы избежать путаницы в терминологии, стоит объяснить одну тонкость. Вопреки названию, перфорированная фанера не имеет к слоистому материалу из шпона никакого отношения.
Так называется лист ХДФ (древесноволокнистая плита высокой плотности, она же — прессованный оргалит) с проделанными в нем через равные промежутки отверстиями. Материал используется при оформлении витрин, в качестве филенок шкафных и внутренних дверей и т.д.
Перфорированный ХДФ.
Очумелые ручки
Может ли обычная фанера производиться в условиях небольшой частной мастерской? По полному циклу — едва ли, слишком габаритное оборудование требуется для распаривания, окорки стволов и лущения шпона. А вот склеивать шпон в готовые листы в домашних условиях вполне возможно.
Зачем это нужно? Например, для производства так называемой инженерной паркетной доски, состоящей из фанеры ФК с наклеенным на нее слоем шпона из древесины твердых пород.
Самый очевидный способ наладить кустарное производство — купить клеевальцы и пресс, благо оборудование для производства фанеры б у вполне доступно по стоимости. Однако если фанера своими руками будет производиться не на продажу, а исключительно ради ремонта в собственном доме, оно просто не окупится.
План «Б» состоит в холодной склейке шпона с готовым фанерным листом:
Оклейка фанеры шпоном благородных пород.
- И уложенный на ровное основание лист, и тыльная сторона шпона промазываются клеем ПВА;
- Шпон укладывается на поверхность листа и разглаживается;
- Заготовка придавливается листом толстой (22 — 27 мм) фанеры и пригружается весом 300 — 400 кг, максимально равномерно распределенным по всей поверхности.
Полная просушка клея займет около суток.
По прошествии этого времени лист нарезается на доски нужного размера на обычной стационарной циркулярке.
Затем фрезерный станок или ручной фрезер для дерева с направляющей используется для снятия фаски глубиной около миллиметра.
Внешний вид получившегося материала не уступит покупному паркету.
Обратите внимание: по понятным причинам изготовленный таким образом паркет можно укладывать только на клей.
В отсутствие кликовых замков о плавающей укладке речь не идет.
Заключение
Источник: https://rubankom.com/materialy/proizvodnye/fanera/1917-kak-delayut-faneru
Станок для шпона
Дорогостоящие сорта лесоматериалов являются прекрасным сырьем для создания предметов мебели, однако не все люди могут себе позволить такую дорогую продукцию.
С целью экономии ценных пород древесины и снижения стоимости конечного продукта и был придуман шпон. Этот материал сегодня крайне популярен для облицовки мебели.
Шпон на 100% повторяет узор, текстуру и оттенок натуральной древесины.
Для создания шпона на производствах пользуются специальными станками. Шпон бывает:
- лущеный
- строганый
- пиленый.
Соответственно и станок для производства шпона бывает трех типов.
Лущильный станок для производства шпона
Для реализации лущения шпона сырье необходимо предварительно обработать паром для того, чтобы увеличить пластичность.
После этого кряжи подаются на окорочный станок, где с заготовки удаляется кора, а вместе с ней грязь и песок, которые часто становятся причиной быстрого затупления лущильных ножей.
При помощи пилы кряжи раскраивают на чураки определенной длины. Чурак нужно предварительно оцилиндровать, после чего можно приступать к лущению.
Лента шпона, которая выходит из лущильного станка, кладется на конвейер, подающий ее к ножницам. Ножницы режут шпон на листы необходимого формата.
По конвейеру шпон укладывается в пачку, которая выносится из-под ножниц и при помощи электрического погрузчика доставляется в сушилку.
Сушат продукцию в роликовой сушилке, далее на конвейере его сортируют и складывают по сортам в пачки. Дефектные листы можно склеить. Если на листах имеются сучки, их отправляют на шпонопочиночный станок, где удаляют изъяны и декорируют их вставками из шпона.
Такой станок для шпона позволяет получить листовой материал толщиной от 1,5 до 5 мм из разнообразных сортов лесоматериалов.
На большинстве станков имеется система, которая позволяет в автоматическом режиме устанавливать бревно для последующей обработки.
Чтобы повысить производительность и удобство работы оператора станки оборудуют гидравлическими подъемниками-центроискателями, которые сами определяют подходящую ось вращения заготовки и совмещают ее с осью вращения центровочных валов.
Лущение пропаренной древесины используется для сосновых, ольховых, березовых лесоматериалов. Из лущеного шпона изготавливают фанеру.
Станок для строгания шпона
Прежде всего, кряжи подвергают поперечному раскрою. Во время этой процедуры кряжи распиливают на отрезки необходимой длины.
Все отрезки распиливают вдоль, вследствие чего образуется двухкантный брус. Иногда его распиливают пополам.
После этого ванчесы подвергают тепловой обработке в пропарочной камере или автоклаве.
Оттенок и узор древесины должны совпадать в каждом наборе.
Именно по этой причине листы шпона, которые получаются из каждого ванчеса во время строгания, складывают, сушат и пакуют в пачки точно в том порядке, в каком они выходили из строгального станка.
Когда строгаются одновременно три ванчеса, шпон из каждого из них складывают в три разные пачки. Укомплектованную, высушенную, запакованную и перетянутую шпагатом пачку шпона называют кнолем.
Станок для изготовления шпона позволяет создать из дорогостоящих сортов лесоматериалов, которые отличаются необычной текстурой, тонкие листы. Такой материал отлично подходит для фанерования. Методы создания шпона:
- радиальный
- тангенциальный
- радиально-тангенциальный
- тангенциально-торцовый.
Наиболее привлекательным сырьем для создания шпона является дубовая древесина. Такой шпон используют для облицовки рустикальных предметов мебели элитного сегмента.
Кроме дубового шпона в специализированных магазинах можно встретить кленовый, буковый, липовый материал, а также из красного дерева.
Станок для сшивки шпона
Шпон режут на специализированных аппаратах. Он отличается довольно тонкой и хрупкой структурой.
Для того, чтобы отделать поверхность шпоном, его необходимо соединить между собой для получения полотна, скатываемого в рулоны.
Шпон соединяют двумя способами:
Эти методы одинаково популярны на мебельных производствах. Сшивку шпона осуществляют на станке или ручным способом.
Для небольших мастерских разработаны ручные устройства для склейки или сшивки шпона.
При помощи особого устройства клеевую или термонить разогревают, и в виде зигзага наносят на основную сторону.
Сегодня станки для сшивки шпона представляют собой небольшие аппараты, функционирующие в автономном режиме. Управление такой машиной осуществляет один специалист. Вся работа на них производится четко, качественно и достаточно быстро.
Ручная сшивка встречается все реже, главным образом, в антикварных, реставрационных и авторских мастерских.
При постройке моделей часто приходится применять шпон различной толщины. Обычно нужную толщину получают шлифованием с помощью грибка с наклеенной на торце шкуркой, вставленного в патрон сверлильного станка. Такой способ самый доступный, но он имеет ряд недостатков: низкая производительность, невозможность обработать шпон толщиной менее 0,5 мм, поскольку из-за вращения грибка шпон вырывается из рук и ломается, и, наконец, основной недостаток — это большая загрязнённость воздуха древесной пылью. Обработать больше трёх-четырёх пластин не удаётся даже в респираторе.
Всех этих недостатков лишён сконструированный мной шлифовальный станок, работающий по принципу встречного фрезерования. Он был изготовлен (за исключением сварочных работ) в условиях авиамодельной лаборатории. В его конструкции отсутствуют дефицитные детали и материалы.
Все узлы станка крепятся на основании, представляющем собой параллелепипед размерами 200x265x340 мм, сваренный из стальных уголков 40x40x4 мм. К основанию привариваются, кроме того, два кронштейна, изготовленные из швеллера № 8, для крепления корпусов подшипников барабана.
Барабан (основной рабочий орган) и его шкив — литые. В качестве материала использован алюминиевый сплав АЛ-25, из которого сделаны поршни автомобильных двигателей. Поршни расплавляются в муфельной печке, а затем отливаются в песчаную форму. Отверстия в барабане под поворотный болт-зажим шкурки и противовесный болт должны быть просверлены симметрично относительно его оси. Кстати, масса у первого (вместе с «собачкой» фиксатором) и масса второго должны быть равные. В противном случае в результате дисбаланса возникнет вибрация, которая приведёт к преждевременному износу подшипников и отразится на работоспособности станка.
Корпуса подшипников выполнены сварными. Окончательный размер под подшипники в корпусах растачивается после сварки. Барабан приводится во вращение при помощи клиноремён-ной передачи от электродвигателя мощностью не менее 300 Вт, с числом оборотов в минуту от трёх до пяти тысяч, с достаточно большим пусковым моментом, так как барабан имеет довольно приличную массу, несмотря на то, что он выполнен из алюминиевого сплава. Этому требованию отвечают коллекторные электродвигатели. Я использовал на станке мотор от бытового электрополотёра.
Принципиально важным в предлагаемой мною конструкции шлифовального станка является наличие системы отсоса загрязнённого опилками и древесной пылью воздуха. Эта система делает станок экологически чистым и более «комфортабельным» при работе, так как позволяет обойтись без респиратора. Для отсоса опилок использован центробежный вентилятор-нагнетатель системы отопления салона автомобиля, который устанавливается на резьбовом конце оси барабана. Такой «пылесос» по производительности не уступает бытовому агрегату.
Кожух вентилятора крепится к кронштейну подшипника при помощи винтов-барашков, позволяющих быстро снимать его, когда возникает необходимость заменить износившуюся шкурку. На нагнетательный патрубок надевается мешочек из плотной ткани для сбора опилок. Всасывающее отверстие кожуха вентилятора соединяется с полостью кожуха барабана при помощи патрубка. Патрубок выклеивается из стеклоткани на пенопластовой болванке, которая затем выплавляется ацетоном. Полость кожуха барабана образована двумя концентрическими оболочками,приваренными к торцевым пластинам-фланцам. Внутренняя из них может быть приварена прерывистым швом, а наружная — обязательно сплошным, во избежание потерь давления. Расстояние между оболочками выбирается из условия равенства площади всасывающего отверстия кожуха вентилятора площади двух щелей, образуемых оболочками. В переднюю щель всасываются опилки, выбрасываемые барабаном при шлифовке, а в заднюю — опилки, которые захватываются шкуркой и выбрасываются центробежной силой барабана.
Кожухи барабана и ременной передачи и обшивка основания станка изготовлены из стального листа толщиной 1,5 мм. Ось барабана выточена из стали 30, а остальные детали — из стали 10.
Операция по заправке шкурки проста и достаточно наглядно показана на рисунке. Натяжка шкурки осуществляется при помощи рычага-«собачки»,надетого на квадратную часть поворотного болта-зажима шкурки и фиксирующегося в одном из пяти положений.
Стол изготавливается из стального листа толщиной 10 мм и имеет размеры 180×350 мм. Его рабочая поверхность должна быть ровной, по возможности отшлифованной на плоскошлифовальном станке. Стол, шарнирно закреплённый на основании, поднимается и опускается при помощи регулировочного болта, что даёт возможность получать шпон толщиной от 0,3 до 30 мм. Необходимый размер устанавливается по линейке, привинченной к основанию. Линейка градуируется при помощи мерных брусков, зажимаемых между барабаном и столом.
О неплохой производительности станка красноречиво свидетельствует тот факт, что за один проход можно снимать «стружку» толщиной до 1,5 мм.
Дорогостоящие сорта лесоматериалов являются прекрасным сырьем для создания предметов мебели, однако не все люди могут себе позволить такую дорогую продукцию. С целью экономии ценных пород древесины и снижения стоимости конечного продукта и был придуман шпон. Этот материал сегодня крайне популярен для облицовки мебели. Шпон на 100% повторяет узор, текстуру и оттенок натуральной древесины.
Для создания шпона на производствах пользуются специальными станками. Шпон бывает:
- лущеный
- строганый
- пиленый.
Соответственно и станок для производства шпона бывает трех типов.
Для реализации лущения шпона сырье необходимо предварительно обработать паром для того, чтобы увеличить пластичность. После этого кряжи подаются на окорочный станок, где с заготовки удаляется кора, а вместе с ней грязь и песок, которые часто становятся причиной быстрого затупления лущильных ножей. При помощи пилы кряжи раскраивают на чураки определенной длины. Чурак нужно предварительно оцилиндровать, после чего можно приступать к лущению. Лента шпона, которая выходит из лущильного станка, кладется на конвейер, подающий ее к ножницам. Ножницы режут шпон на листы необходимого формата. По конвейеру шпон укладывается в пачку, которая выносится из-под ножниц и при помощи электрического погрузчика доставляется в сушилку. Сушат продукцию в роликовой сушилке, далее на конвейере его сортируют и складывают по сортам в пачки. Дефектные листы можно склеить. Если на листах имеются сучки, их отправляют на шпонопочиночный станок, где удаляют изъяны и декорируют их вставками из шпона.
Такой станок для шпона позволяет получить листовой материал толщиной от 1,5 до 5 мм из разнообразных сортов лесоматериалов. На большинстве станков имеется система, которая позволяет в автоматическом режиме устанавливать бревно для последующей обработки.
Чтобы повысить производительность и удобство работы оператора станки оборудуют гидравлическими подъемниками-центроискателями, которые сами определяют подходящую ось вращения заготовки и совмещают ее с осью вращения центровочных валов.
Лущение пропаренной древесины используется для сосновых, ольховых, березовых лесоматериалов. Из лущеного шпона изготавливают фанеру.
Прежде всего, кряжи подвергают поперечному раскрою. Во время этой процедуры кряжи распиливают на отрезки необходимой длины. Все отрезки распиливают вдоль, вследствие чего образуется двухкантный брус. Иногда его распиливают пополам. После этого ванчесы подвергают тепловой обработке в пропарочной камере или автоклаве.
Далее ванчесы нужно острогать на шпонострогальном станке. Строганный шпон сушат в роликовых сушилках, торцуют и пакуют в пачки. В каждом наборе составляется конкретный рисунок. Оттенок и узор древесины должны совпадать в каждом наборе. Именно по этой причине листы шпона, которые получаются из каждого ванчеса во время строгания, складывают, сушат и пакуют в пачки точно в том порядке, в каком они выходили из строгального станка. Когда строгаются одновременно три ванчеса, шпон из каждого из них складывают в три разные пачки. Укомплектованную, высушенную, запакованную и перетянутую шпагатом пачку шпона называют кнолем.

- радиальный
- тангенциальный
- радиально-тангенциальный
- тангенциально-торцовый.
Наиболее привлекательным сырьем для создания шпона является дубовая древесина. Такой шпон используют для облицовки рустикальных предметов мебели элитного сегмента.
Кроме дубового шпона в специализированных магазинах можно встретить кленовый, буковый, липовый материал, а также из красного дерева.
Шпон режут на специализированных аппаратах. Он отличается довольно тонкой и хрупкой структурой. Для того, чтобы отделать поверхность шпоном, его необходимо соединить между собой для получения полотна, скатываемого в рулоны. Шпон соединяют двумя способами:
- склейка
- сшивка.
Эти методы одинаково популярны на мебельных производствах. Сшивку шпона осуществляют на станке или ручным способом. Для небольших мастерских разработаны ручные устройства для склейки или сшивки шпона. При помощи особого устройства клеевую или термонить разогревают, и в виде зигзага наносят на основную сторону.

Ручная сшивка встречается все реже, главным образом, в антикварных, реставрационных и авторских мастерских.
Копировальные станки очень помогают в создании конкретной детали по шаблону для партий небольшого объема. Копировально-фрезерный станок применяют как на предприятиях, занимающихся производством продукции для крупных оптовых клиентов, так и в мелких мастерских, а также для бытого использования. Промышленные станки способны создавать изделия почти в неограниченном количестве. Однако в этой статье мы расскажем о том, как сделать копировально-фрезерный станок своими руками для мелкосерийного мебельного производства.
21 марта
Дорогостоящие сорта лесоматериалов являются прекрасным сырьем для создания предметов мебели, однако не все люди могут себе позволить такую дорогую продукцию. С целью экономии ценных пород древесины и снижения стоимости конечного продукта и был придуман шпон. Этот материал сегодня крайне популярен для облицовки мебели. Шпон на 100% повторяет узор, текстуру и оттенок натуральной древесины.
Для создания шпона на производствах пользуются специальными станками. Шпон бывает:
- лущеный
- строганый
- пиленый.
Соответственно и станок для производства шпона бывает трех типов.
Лущильный станок для производства шпона
Для реализации лущения шпона сырье необходимо предварительно обработать паром для того, чтобы увеличить пластичность. После этого кряжи подаются на окорочный станок, где с заготовки удаляется кора, а вместе с ней грязь и песок, которые часто становятся причиной быстрого затупления лущильных ножей.
При помощи пилы кряжи раскраивают на чураки определенной длины. Чурак нужно предварительно оцилиндровать, после чего можно приступать к лущению. Лента шпона, которая выходит из лущильного станка, кладется на конвейер, подающий ее к ножницам. Ножницы режут шпон на листы необходимого формата.
По конвейеру шпон укладывается в пачку, которая выносится из-под ножниц и при помощи электрического погрузчика доставляется в сушилку. Сушат продукцию в роликовой сушилке, далее на конвейере его сортируют и складывают по сортам в пачки. Дефектные листы можно склеить.
Если на листах имеются сучки, их отправляют на шпонопочиночный станок, где удаляют изъяны и декорируют их вставками из шпона.
Такой станок для шпона позволяет получить листовой материал толщиной от 1,5 до 5 мм из разнообразных сортов лесоматериалов. На большинстве станков имеется система, которая позволяет в автоматическом режиме устанавливать бревно для последующей обработки.
Чтобы повысить производительность и удобство работы оператора станки оборудуют гидравлическими подъемниками-центроискателями, которые сами определяют подходящую ось вращения заготовки и совмещают ее с осью вращения центровочных валов.
Лущение пропаренной древесины используется для сосновых, ольховых, березовых лесоматериалов. Из лущеного шпона изготавливают фанеру.
Станок для строгания шпона
Прежде всего, кряжи подвергают поперечному раскрою. Во время этой процедуры кряжи распиливают на отрезки необходимой длины. Все отрезки распиливают вдоль, вследствие чего образуется двухкантный брус. Иногда его распиливают пополам. После этого ванчесы подвергают тепловой обработке в пропарочной камере или автоклаве.
Далее ванчесы нужно острогать на шпонострогальном станке. Строганный шпон сушат в роликовых сушилках, торцуют и пакуют в пачки. В каждом наборе составляется конкретный рисунок. Оттенок и узор древесины должны совпадать в каждом наборе.
Именно по этой причине листы шпона, которые получаются из каждого ванчеса во время строгания, складывают, сушат и пакуют в пачки точно в том порядке, в каком они выходили из строгального станка. Когда строгаются одновременно три ванчеса, шпон из каждого из них складывают в три разные пачки.
Укомплектованную, высушенную, запакованную и перетянутую шпагатом пачку шпона называют кнолем.
Станок для изготовления шпона позволяет создать из дорогостоящих сортов лесоматериалов, которые отличаются необычной текстурой, тонкие листы. Такой материал отлично подходит для фанерования. Методы создания шпона:
- радиальный
- тангенциальный
- радиально-тангенциальный
- тангенциально-торцовый.
Наиболее привлекательным сырьем для создания шпона является дубовая древесина. Такой шпон используют для облицовки рустикальных предметов мебели элитного сегмента.
Кроме дубового шпона в специализированных магазинах можно встретить кленовый, буковый, липовый материал, а также из красного дерева.
Станок для сшивки шпона
Шпон режут на специализированных аппаратах. Он отличается довольно тонкой и хрупкой структурой. Для того, чтобы отделать поверхность шпоном, его необходимо соединить между собой для получения полотна, скатываемого в рулоны. Шпон соединяют двумя способами:
Эти методы одинаково популярны на мебельных производствах. Сшивку шпона осуществляют на станке или ручным способом. Для небольших мастерских разработаны ручные устройства для склейки или сшивки шпона. При помощи особого устройства клеевую или термонить разогревают, и в виде зигзага наносят на основную сторону.
Сегодня станки для сшивки шпона представляют собой небольшие аппараты, функционирующие в автономном режиме. Управление такой машиной осуществляет один специалист. Вся работа на них производится четко, качественно и достаточно быстро.
Ручная сшивка встречается все реже, главным образом, в антикварных, реставрационных и авторских мастерских.
Источник: http://wood-prom.ru/clauses/promyshlennoe-oborudovanie/stanok-dlya-shpona
Как делают фанеру: подготовка бревен, оцилиндровка и лущение, нарезка на листы, сушка в прессе, обрезка, сортировка и складирование
Все фото из статьи
Тема этой статьи — изготовление фанеры. Мы познакомимся с полным циклом ее производства — от окорки древесных стволов, до отгрузки готового материала на склад. Кроме того, мы выясним, можно ли производить фанеру в домашних условиях.
Одна из стадий производства — подача бревен в лущильный станок.
Производственный цикл
Он состоит из нескольких этапов:
На некоторых этапах стоит остановиться чуть подробнее.
Подготовка бревен
Из чего делается фанера при полном цикле производства?
- Из стволов хвойных и лиственных деревьев;
- Из связующего — клеев на основе искусственных смол.
Наиболее типичный материал фанеры — сосна и береза. Несколько реже применяются пихта, лиственница, кедр, ель, тополь, ольха, липа, осина и бук.
Обратите внимание: хвойная и лиственная фанера заметно различается механической прочностью и производится по разным ГОСТ — 3919.1-96 и 3919.2-96 соответственно.
Спиленные и лишенные сучьев бревна окоряются (очищаются от коры) и нарезаются вручную или на торцовочном станке на отрезки одинаковой длины. В зимнее время стволы предварительно выдерживаются в ванне с теплой водой для придания замерзшей древесине необходимой пластичности.
Окорка ствола.
Оцилиндровка и лущение
Как правило, эти две операции выполняются на одном станке. Вначале заготовке придается цилиндрическая форма; затем с нее по сужающейся спирали снимается слой древесины толщиной около миллиметра. Оставшийся черенок в производстве не используется.
Нарезка на листы
Она сопровождается сортировкой материала. Дефектные участки листов вырезаются; полосы небольшой (менее 1,5 м) ширины могут быть использованы для склейки в целый лист.
Нарезка шпона на листы и первичная сортировка.
Затем шпон проходит клеевальцы, где он промазывается связующим.
Справка: в производстве фанеры ФК используется карбамидоформальдегидная смола.
Так называемая техническая фанера ФСФ склеивается фенолформальдегидными смолами, что позволяет отнести это производство к категории вредных.
Сушка в прессе
Для сушки листов используется гидравлический пресс с прогревом плит перегретым паром. Типичная температура сушки около 200 градусов. Продолжительность этой части цикла составляет от 30 минут до 2 часов в зависимости от толщины листа.
Сушка осуществляется при интенсивной принудительной вентиляции помещения: как уже говорилось, формальдегиды отнюдь не полезны для здоровья.
Выгрузка из пресса.
Обрезка
Просушенный лист представляет собой неопрятный сэндвич с неровными кромками. Чтобы превратиться в готовое для продажи изделие, он проходит обрезку на распиловочном станке.
Обратите внимание: согласно требованиям ГОСТ, кромки листа должны быть строго перпендикулярны друг другу.
Косина может составлять не более 2 мм на погонный метр.
Сортировка
Качество фанеры определяется визуально и, в зависимости от внешнего вида поверхности, позволяет отнести ее к одному из сортов — от элитного до четвертого.
К основным дефектам относятся:
- Живые и выпадающие сучки;
- Разошедшиеся и неразошедшиеся трещины;
- Здоровые и болезненные изменения цвета.
Цена листа в зависимости от сорта может различаться в два раза и более.
Особо стоит отметить два факта:
- Для материала сорта Е (Элита) недопустимы даже резкие переходы цвета и существенные изменения структуры поверхностного слоя шпона;
Фото позволяет оценить разницу между элитным и прочими сортами.
- Расслоение шпона сразу отправляет лист в брак вне зависимости от сорта.
Складирование
Установленная вертикально или под наклоном фанерная плита способна деформироваться под собственным весом благодаря текучести связывающих слои шпона смол.
Кроме того: ферментация может изменить цвет верхнего слоя на ярком солнечном свету.
Именно поэтому содержащаяся в отечественных стандартах инструкция по складированию листов предписывает хранить их строго определенным образом:
- в закрытом помещении с постоянной влажностью;
- защищенными от прямых солнечных лучей;
- в горизонтальном положении, уложенными на поддоны или подкладки.
Складирование материала.
Особый случай
Чтобы избежать путаницы в терминологии, стоит объяснить одну тонкость. Вопреки названию, перфорированная фанера не имеет к слоистому материалу из шпона никакого отношения.
Так называется лист ХДФ (древесноволокнистая плита высокой плотности, она же — прессованный оргалит) с проделанными в нем через равные промежутки отверстиями. Материал используется при оформлении витрин, в качестве филенок шкафных и внутренних дверей и т.д.
Перфорированный ХДФ.
Очумелые ручки
Может ли обычная фанера производиться в условиях небольшой частной мастерской? По полному циклу — едва ли, слишком габаритное оборудование требуется для распаривания, окорки стволов и лущения шпона. А вот склеивать шпон в готовые листы в домашних условиях вполне возможно.
Зачем это нужно? Например, для производства так называемой инженерной паркетной доски, состоящей из фанеры ФК с наклеенным на нее слоем шпона из древесины твердых пород.
Самый очевидный способ наладить кустарное производство — купить клеевальцы и пресс, благо оборудование для производства фанеры б у вполне доступно по стоимости. Однако если фанера своими руками будет производиться не на продажу, а исключительно ради ремонта в собственном доме, оно просто не окупится.
План «Б» состоит в холодной склейке шпона с готовым фанерным листом:
Оклейка фанеры шпоном благородных пород.
- И уложенный на ровное основание лист, и тыльная сторона шпона промазываются клеем ПВА;
- Шпон укладывается на поверхность листа и разглаживается;
- Заготовка придавливается листом толстой (22 — 27 мм) фанеры и пригружается весом 300 — 400 кг, максимально равномерно распределенным по всей поверхности.
Полная просушка клея займет около суток. По прошествии этого времени лист нарезается на доски нужного размера на обычной стационарной циркулярке. Затем фрезерный станок или ручной фрезер для дерева с направляющей используется для снятия фаски глубиной около миллиметра.
Внешний вид получившегося материала не уступит покупному паркету.
Обратите внимание: по понятным причинам изготовленный таким образом паркет можно укладывать только на клей.
В отсутствие кликовых замков о плавающей укладке речь не идет.
Заключение
Источник: https://rubankom.com/materialy/proizvodnye/fanera/1917-kak-delayut-faneru
Pereosnastka.ru
Конструкция лущильных станков
К
атегория:
Производство клееной фанеры
Конструкция лущильных станков
Лущильные станки по техническим показателям подразделяют:- по наибольшему расстоянию между центрами шпинделей. Это расстояние определяет максимально возможную длину ножа и длину чураков, подлежащих лущению.
Наиболее распространенными являются станки для лущения чураков длиной 1350, 1650, 1950 мм. Длина чурака определяется размерами листов шпона;
По высоте центров шпинделей над станиной.
Высота центров определяется наибольшим радиусом чурака с припуском 100-150 мм.
Отечественные станки рассчитаны на лущение сырья диаметром 60-70 см. Иностранные фирмы выпускают станки для лущения чураков диаметром более 80 см.
Лущильный станок ЛУ-17-4 состоит из следующих основных частей: станины, двух шпиндельных бабок, суппорта кинематического узла, механизма поджима, центровочно-загрузочного приспособления.
Станина станка служит для крепления всех основных частей станка, восприятия динамических нагрузок резания и вспомогательных операций лущения.
Станина представляет собой жесткую сварную раму из двутавровых балок, на которой установлены чугунные шпиндельные бабки. В раме имеется щель для выброса карандаша вниз на транспортер.
Шпиндельные бабки (правая и левая) служат для закрепления чурака и придают ему вращательное движение.
На рис. 2 показан разрез правой шпиндельной бабки. Шпиндельная бабка имеет два телескопических шпинделя с соответствующими кулачками.
Наличие большого кулачка позволяет избежать раскола чураков в начальный период лущения, а малый кулачок дает возможность лущить карандаш диаметром до 70 мм.
Зажимают чурак на станке следующим образом.
Рис. 1. Станок ЛУ-17-4:
1 — станина, 2 — левая шпиндельная бабка, 3 — центровочно-загрузоч-ное приспособление, 4 — сварная балка, 5 — прижимные ролики, 6 — правая шпиндельная бабка, 7 — механизм прижима чурака, 8 — гидропривод, 9 — пустотелый вал, 10 — чугунная балка, 11 — суппорт, 12 — привод ускоренного перемещения суппорта, 13 — электродвигатель, 14 — механизм подачи чураков
Насос подает масло из гидросистемы в распределитель. Поршень под давлением перемещает шток в большом гидроцилиндре на величину до 150 мм. Шток поршня, жестко связанный с подвижным подшипниковым узлом малого шпинделя, перемещается также на длину гидроцилиндра. На подшипниковом узле малого шпинделя закреплен малый шпиндель. Последний, свободно перемещаясь внутри пустотелого большого шпинделя, кулачком зажимает чурак.
Разрез правой шпиндельной бабки станка ЛУ-17-4:
1 — поршень, 2 — большой гидроцилиндр, 3 — шток поршня, 4 — подвижной подшипниковый узел малого шпинделя, 5 — корпус, 6 — шли-цевая втулка, 7- шпонка шестерни, 8 — шестерня, 9- шпонка звездочки, 10 — звездочка, 11 — гнльза, 12-пустотелый большой шпиндель, 13 — малый кулачок, 14 — большой кулачок, 15 — малый шпиндель, 16 — сферические роликовые подшипники, 17 — шлицевая втулка большого шпинделя, 18 — рычаг, 19 — подвижный подшипниковый узел большого шпинделя, 20 — шлицы, 21 — шпонка, 22 — скользящие шпонки, 23-малый гидроцилиндр, 24 — малый поршень со штоком, 25 — шпилька
Масло одновременно поступает в большой и малый гидроцилиндры. Малый поршень со штоком перемещается в сторону чурака и, действуя на рычаг, смещает подвижный подшипниковый узел большого шпинделя. Величина смещения малого поршня со штоком зависит от размера малого гидроцилиндра и составляет 150 мм. Закрепленный в подвижном подшипниковом узле пустотелый большой шпиндель перемещается на указанную величину и зажимает большим кулачком чурак.
Таким образом, два шпинделя одновременно зажимают чурак закрепленными на них кулачками. Работа левого шпинделя аналогична работе правого.
После зажима чураку придают вращательное движение от главного вала через шестерню. Вращающаяся шестерня через шпонку приводит во вращение гильзу, которая с помощью шлицевой втулки 6 вращает пустотелый большой шпиндель. Большой шпиндель через шлицевую втулку большого шпинделя приводит во вращение малый шпиндель.
Скользящие шпонки предохраняют от вращения подвижные подшипниковые узлы; одновременно они являются направляющими при горизонтальном перемещении этих узлов.
В процессе лущения, когда лущильный нож подходит к вращающемуся кулачку большого шпинделя, гидросистема возвращает большой шпиндель в начальное положение. То же происходит, когда лущильный нож приближается к кулачкам малого шпинделя.
Система подвода масла к гидроцилиндрам для возврата шпинделей в исходное положение была показана на рис. 1.
Подключение гидросистемы к шпиндельным бабкам происходит таким образом, что при подаче масла на поршни большого и малого гидроцилиндров эти поршни возвращаются в исходное положение. Благодаря пустотелой конструкции большого шпинделя и шлицевому соединению двух шпинделей достигается их независимое передвижение относительно друг друга в горизонтальной плоскости.
Благодаря применению шпиндельных бабок стало возможным долущивать чурак диаметром до 70 мм на станке ЛУ-17-4, отказавшись от использования на этой операции малых лущильных станков.
Суппорт лущильного станка предназначен для закрепления ножа, его регулировки, настройки и для придания ему возвратно-поступательного движения (к чураку и обратно).
Суппорт состоит из двух боковых ползунов, перемещающихся по горизонтальным съемным параллелям, расположенным на станине станка; ножевой траверсы — для крепления и регулировки лущильного ножа; траверсы прижимной линейки — для крепления и регулировки прижимной линейки станка; двух суппортных винтов, сообщающих суппорту возвратно-поступательное движение.
Суппорт имеет дополнительные верхние и нижние направляющие, с которыми связана ножевая траверса и при помощи которых изменяется угол резания во время лущения чураков. Прижимная линейка соединена с ножевой траверсой эксцентриковым валом.
Механизм поджима чурака устраняет прогиб чурака в конце лущения под действием сил резания.
Этот механизм состоит из чугунной балки, закрепленной на пустотелом валу, двух пар прижимных роликов, гидроцилиндра перемещения роликов, смонтированного на стальной сварной балке, соединяющей обе бабки станка, а также устройства для регулировки синхронности перемещения ножа и прижимных роликов. Блок прижимных роликов шарнирно соединен с балкой и со штоком гидроцилиндра. Цапфы пустотелого вала установлены в подшипниках, корпуса которых прикреплены к бабкам станка.
Кинематический узел станка служит для связи рабочих органов станка (суппорта и шпиндельных бабок) и придания им рабочих движений.
На рис. 3 приведена кинематическая схема лущильного станка ЛУ-17-4. Сцентрированный и зажатый в шпинделях станка чурак (работа центровочно-загрузочного приспособления будет описана ниже) приводится во вращение от главного вала через шестерни. Главный вал соединен с электродвигателем через клиноременную передачу и электромагнитную муфту.
Кинематическая схема лущильного станка ЛУ-17-4:
1 — главный электродвигатель, 2 и 22 — клиноременная передача, 3 — электромагнитная муфта, 4, 5, 6 — шестерни, 7 — главный вал, 8, 9, 10, 16, 17, 18 — звездочки, 11 — промежуточный вал, 12-правый пустотелый вал, 13 — кулачковая муфта, 14 — передаточный вал, 15 — левый пустотелый вал, 19, 20 — конические шестерни, 21 — суппортный вал, 23 — электродвигатель ускоренного подвода и отвода суппорта, 24 — суппортные винты, 25 — поршни гидроцилиндра следящей системы, 26 — пневмоцилиндры центровки чураков, 27 — механизм подачи чураков, 28 — рукоятка переключения ускоренной и рабочей подачи суппорта, 29 — электромагнит; а, б, в, г — сменные шестерни набора толщин шпона
Левый шпиндель приводится во вращение от главного вата также через шестерни. Шестерня, вращая гильзу правого шпинделя, сообщает вращение звездочке. Звездочка втулочно-роликовой цепью соединена с промежуточным валом через звездочку, жестко закрепленную на промежуточном валу.
Вал приводит во вращение правый пустотелый вал через сменные шестерни а, б, в и г. Через кулачковую муфту, посаженную на скользящую шпонку, вращение с пустотелого вала передается на передаточный вал.
Через звездочку, жестко закрепленную на валу, и втулочно-роли-ковую цепь вращение передается на суппортный вал через звездочку.
Система конических шестерен, приводит в движение суппортные винты, а последние — суппорт, который перемещается по направляющим к вращающемуся чураку. Поступательное движение суппорта осуществляется благодаря суппортным гайкам, жестко связанным с корпусом суппорта.
Величина подачи суппорта за один оборот чурака, т. е.
толщина снимаемого шпона, зависит от расположения сменных шестерен а, б, в и г, так как жесткая связь во всех звеньях кинематической схемы, кроме сменных шестерен а, б, в и г, обеспечивает постоянное передаточное отношение.
Из таблицы видно, что изменение толщины шпона от 0,2 до 3,2 мм достигается в основном сменой шестерни а при взаимном расположении блок-шестерен (б — в) в двух положениях.
К концу лущения, когда диаметр чурака будет приближаться к диаметру малого кулачка шпинделя, рабочая подача суппорта прекращается при переводе кулачковой муфты в нейтральное положение рукояткой. Одно-вРеменно электромагнитную муфту выводят из соединения со шкивом клиноременной передачи и вращение карандаша в шпинделях станка прекращается.
С помощью электромагнитной муфты можно останавливать Движение главного вала, не выключая главного электродвигателя, что целесообразно экономически, так как пусковые моменты при включении электродвига-едя отрицательно сказываются на электроснабжении предприятия.
Гидросистема возвращает шпиндели в исходное положение, а карандаш через щель в станине удаляется транспортером из цеха.
Вращением суппортного вала в обратную сторону по отношению к рабочему движению электродвигателя через клиноременную передачу производится возврат суппорта в исходное положение. Суппорт подают в исходное положение на ускоренной подаче, что дает значительный выигрыш во времени. После этого электродвигатель выключают. В таком положении лущильный станок готов для лущения очередного чурака. Далее операция повторяется, как указано выше.
Кроме рабочей подачи, которая обеспечивает получение шпона заданной толщины, лущильный станок имеет ускоренную подачу, которая применяется в начальный период лущения для снятия больших неровностей на чураке.
Включение ускоренной подачи производится муфтой левого пустотелого вала. Вращение вала через муфту передается валу. Далее вращение передается как при рабочей подаче. Вращение вала 15 осуществляется от пала звездочками и втулочно-роликовой цепью.
В этом случае система сменных шестерен а, б, в иг отключена и в работе участия не принимает.
После окончания обдирки (на ускоренной подаче суппорта) передвигают рукояткой кулачковую муфту, тем самым отключая вал и включая вал. Далее происходит процесс лущения на рабочей подаче. Электромагнит служит для автоматического перевода кулачковой муфты в нейтральное положение.
Рис. 4. Схема устройства центровочно-загрузочного приспособления:
1 — свободно вращающаяся ось, 2- пневматический цилиндр, 3 — рычаг, 4 — груз, 5 — верхняя шестерня, 6 — сектор без зубцов, 7 — клещевые захваты, 8 — двухходовой кран, 9 — нижняя шестерня, 10 — зубчатые сектора
Центровочно-загрузочное приспособление служит для правильной центровки чурака, т. е. сокращения отпада шпона в процессе лущения, и для загрузки чурака в лущильный станок.
На лущильных станках устанавливают, как правило, Центровочно-загрузочное приспособление системы А. Жукова, В. П. Банко и А. А. Порохина. Благодаря этому приспособлению стало возможным одновременно выполнять центровку чурака и подачу его к шпинделям лущильного станка.
Центровочно-загрузочное приспособление состоит из Двух пневматических цилиндров, свободно поворачивающихся на осях, прикрепленных к станине лущильного станка. На выступающих ступицах нижних шестерен укреплены рычаги с разрезными хомутами, что позволяет крепить рычаги на ступице в любом положении. Рычаги шарнирно соединены со штоками поршней пневматических цилиндров.
Подъем и центровка чурака осуществляется поворотом рукоятки двухходового крана. При этом сжатый воздух поступает в пневматические цилиндры. При подъеме поршней штоки поворачивают рычаги, которые при помощи шестерен и зубчатых секторов сводят клещевые захваты до соприкосновения их с поверхностью чурака.
Во время зажима чурака шпинделями происходит его осевое перемещение. Неровности чурака могут несколько разводить губки клещевых захватов за счет компрессии воздуха в цилиндрах, не создавая в звеньях механизма дополнительных усилий.
Скорость сжатия клещевых захватов регулируется степенью открытия воздушного крана.
Разведение клещевых захватов осуществляется под действием грузов, закрепленных на концах рычагов, или пружинами, как показано на рис. 19. Повернув рукоятку двухходового крана, открывают отверстие для выхода воздуха.
Приспособление работает при давлении в сети 4- 4,5 ати. Расход воздуха на один лущильный станок составляет 0,7 м3/ч. Верхние и нижние клещи закреплены на валах с помощью сквозных призматических шпонок в соответствующих положениях по отношению к зубчатым секторам.
Регулирование взаимного положения верхних и нижних клещей, обеспечивающее симметричность их движения (от чего зависит точность центровки), осуществляется при помощи особого устройства. Верхние секторы этого устройства двойные. Сектор без зубцов жестко скреплен с осью верхней клешни, а зубчатый сектор сидит на оси свободно и связан с верхней шестерней. Он может смещаться относительно сектора и жестко скрепляться с ним в нужном положении.
Для повышения точности центровки угол вилок доведен до 90°, нижние вилки жестко соединены с клещами, а верхние оставлены свободно вращающимися в пальцах. Для устранения наезда суппорта на клещи (при неполном их разведении) на станке установлена электрическая автоблокировка.
Кроме перечисленных выше основных частей, лущильный станок имеет также механизм подачи чураков, гидропривод, электрооборудование с автоблокировкой.
Шпонирование деревянной основы, еще называют фанерованием. Шпонирование, как собственно говоря, фанерование, подразумевает под собой приклеивание тонких пластин дерева, шпона, на деревянную основу. Основа это столы, двери, шкафы, стены и прочие деревянные поверхности. Более подробно, о том, какие виды фанерования существуют, зачем это делать и как производить шпонирование своими руками, расскажем в статье.
Для чего шпонируют
мебель
Шпон — это тонкая
пластина древесины, как правило, ценных
пород. Используют шпон, для того, чтобы
обычное, недорогое дерево, стало по всем
внешним признакам, ценной, дорогой
породой.
Вследствие этого, цена на шпонированную мебель, в разы ниже, чем на массив дерева ценных пород. А внешний вид практически ничем не уступает второму.
Кроме выгоды в
стоимости, использование шпона, дает
широкие возможности для дизайна. Им же
можно обклеить старую мебель, тем самым
вдохнуть в нее вторую жизнь.
Какие бывают виды
шпонирования
Основными видами
шпонирования или фанерования, являются
три вида. А именно, горячее, холодное и
мембранное шпонирование.
Самым доступным методом, для домашнего использования, является метод горячего шпонирования. Тут шпон приклеивается к основе клеящим составом.
Остальные
два вида шпонирования -холодное и
мембранное, требует специальных станков
и других производственных мощностей.
Так, холодное шпонирование это прессование
шпона к основе. Для этого используются
прессовальные аппараты или винтовые
ваймы.
Мембранное шпонирование производится на сложных рельефных поверхностях. И базируется на вакуумном соединении гладких и рельефных плит и шпона
Процесс шпонирования
своими руками
Как мы уже говорили
ранее, самым доступным способом, для
домашнего использования, является
горячее фанерование. Для работы вам
понадобятся следующие основные материалы
и инструменты из списка:
- Основа для шпонирования
- Шпон из дерева
- Нож фанерный
- ПВА клей
- Чистый лист бумаги
- Валик или деревянный брусок, для затирки шпона
- Наждачка
- Утюг, чем тяжелее, тем лучше
- Резак
Подготовительные
работы
Прежде, чем
приступить к шпонированию, нужно, в
первую очередь, подготовить шпон. Шпон
натурального происхождения, часто
скручивают в рулон. Шпон, также может
быть покоробленным и так далее.
Чтобы придать шпону правильное положение, смочите его увлажненной водой, губкой, и положите между двумя листами фанеры. А чтобы ушла лишняя влага, проложите между фанерой и шпоном, с обеих сторон шпона, упаковочную бумагу.
Чаще всего, для
отделки мебели применяют строганный
шпон. Это узкие, но длинные листы. Ширина
строганного шпона, как правило, не шире
30 сантиметров.
Поэтому, после выравнивания и удаления лишней влаги с поверхности шпона, нарезаем листы, необходимой длины. Если, для примера, вы хотите обклеить стол, то шпон должен слегка выступать ха края основы. Лишнее, по окончании процесса шпонирования, можно будет срезать или зашкурить.
Кстати, не режьте
шпон ножом или ножницами. Шпон может
растрескаться и режется от неровно
этими приспособлениями. Для резки шпона
используйте фанерный нож или строгальный
станок.
Склеивание шпона
и основы
Клей ПВА наносим на шпон и на основу. На основе промазываем участок основы. Лучше всего, клеем промазывать дважды. Первый слой клея сушим почти до полного высыхания, чтобы клей практически перестал липнуть. Второй слой просушиваем до отлипа.
Следующим этапом, разогреваем утюг до 50 градусов. Это, примерно, средняя температура на утюга. И через лист белой бумаги утюжим шпон. После прохода утюгом, сразу же начинаем притирать валиком или бруском, шпон и основу.
Лущильный станок был изобретен еще в конце XIX века. Без этого оборудования сегодня просто невозможно представить производство фанеры и изготовление спичек. За прошедшие сто с лишним лет было создано немало конструкций и модификаций станков, но принцип остался прежним: срезание с коротких бревен-чураков тонкой ленты древесины.
Но при многих достоинствах у традиционных лущильных станков есть и серьезные недостатки конструкции, связанные с необходимостью использования кулачков, которые вонзаются в торцы чураков и заставляют их вращаться. Нередко чурак проворачивается в кулачках и дальнейшее лущение становится невозможным. Как правило, это происходит из-за сердцевинной гнили, особенно часто встречающейся в осиновых чураках. В результате получаются так называемые провертыши — чураки большого диаметра, непригодные для дальнейшей обработки на лущильном станке.
Еще один недостаток традиционной техники лущения — потери древесины в виде остатков от лущения, так называемых карандашей. Диаметр «карандаша» зависит от диаметра внутренних кулачков станка и длины чурака. При длине чурака 1,6 м диаметр «карандаша» обычно 75 мм, а при длине 2,5 м — до 100 мм. Потери древесины составляют 10-12% объема чурака.
Рис. 1. Схема бесшпиндельного лущильного станка
Желание избавиться от этих недостатков привело конструкторов оборудования к идее бесшпиндельного лущильного станка. Впервые, вероятно, эта идея была реализована фирмой Raute (Финляндия) еще в 1990-е годы (рис. 1) в станках для лущения чураков максимальным диаметром 400 мм и длиной 1,7 и 2,8 м.
Вращение чураков в станке осуществлялось за счет приводных рифленых роликов, расположенных под углом 120° друг к другу. Верхний валец служил одновременно прижимной линейкой, а нижние перемещались прямолинейно по мере уменьшения диаметра чурака. Каждый валец оснащен индивидуальным гидроприводом. В процессе лущения ножевой суппорт немного поворачивался относительно чурака, что обеспечивало оптимальные параметры лущения чурака до диаметра карандаша 50 мм. Положение валов, толщина шпона и угол резания регулировались микро-ЭВМ. Диаметр чурака измерялся до его подачи в станок для определения просвета между валами.
Технология бесшпиндельного лущения шпона в Европе по какой-то причине не получила развития, но широко распространилась в азиатских странах. В Юго-Восточной Азии на многих предприятиях применяют бесшпиндельное лущение тонкомерного сырья и долущивание карандашей. Обычно лущильная линия состоит из окорочно-оцилиндровочного станка, бесшпиндельного лущильного станка с роторными ножницами.
Рис. 2. Линия лущения шпона RD2800 Raute
В окорочно-оцилиндровочном станке чурак зажимается тремя приводными зубчатыми роликами и приводится во вращение. Нож, аналогичный лущильному, удаляет кору и неровности, придает чураку цилиндрическую форму. Начальный диаметр чурака — до 500 мм, после оцилиндровки — не более 360 мм.
Передающий конвейер выравнивает чураки и подает их на бесшпиндельный лущильный станок, оснащенный тремя приводными роликами с мелкой насечкой и лущильным ножом. Максимальный диаметр чурака — 360 мм. Диаметр карандаша — 30-40 мм в зависимости от модели станка. Толщина получаемого шпона — от 1,0 до 3,0 мм. Линейная скорость лущения — 40 м/мин. После лущения шпон поступает на роторные ножницы, где в автоматическом режиме рубится на форматные листы.
Технология лущения тонкомерных чураков будет интересна российским предприятиям, которым приходится работать в наших непростых условиях. Китайские лущильные станки работают и в России, например на фанерном заводе «ИнвестФорэст» в пгт Суслонгер в Республике Марий Эл, на Уфимском фанерно-плитном комбинате, на заводе «Сатис-Мебель» под Нижним Новгородом.
Последнее предложение фирмы Weihai Hanvy из Китая — линия HVPL1326 с окорочно-оцилиндровочным станком и бесшпиндельным лущильным станком с ЧПУ Siemens HXQ2700 и электроникой от фирмы Scheider. Новый станок для бесшпиндельного лущения предназначен для обработки чураков длиной 2,6 м и максимальным диаметром 500 мм. Диаметр карандаша — 40 мм, скорость лущения — 40-100 м/мин. В станке предусмотрено изменение угла наклона ножа в ходе лущения, пневматическое крепление инструмента и автоматическое регулирование толщины шпона.
Рис. 3. Бесшпиндельный лущильный станок D1700 G26 и схема его работы
Фирма Raute не оставила идею создания бесшпиндельного лущильного станка и разработала линии RD1400, RD1700 (рис. 3) и RD2800, в составе каждой из которых четыре агрегата с необходимыми транспортным связями: окорочно-оцилиндровочный станок, лущильный станок, роторные ножницы и вакуумный укладчик шпона (рис. 2).
Сырье (чураки заданной длины) подается на поперечный конвейер с дозирующими упорами. В процессе окорки и оцилиндровки чураки приобретают необходимую для лущения цилиндрическую форму и передаются на лущильный станок при помощи еще одного поперечного конвейера.
Рис. 4. Схема зоны лущения с прижимным роликом
Кинематическая схема станка претерпела принципиальные изменения в сравнении с предыдущими моделями. Чурак подается в станок сверху, затем поджимается к двум приводным роликам с мелкой насечкой, которые установлены на едином суппорте. В окорочно-оцилиндровочном станке подача роликового суппорта гидравлическая, а в лущильном станке — электромеханическая. Третий ролик находится на неподвижном суппорте с лущильным ножом и играет роль прижимной линейки (рис. 4).
Чурак в станке самоцентрируется по трем точкам. При подаче роликового суппорта вперед чурак поджимается к ножевому суппорту, и выполняется лущение шпона. Толщина шпона задается с пульта управления установкой зазора между ножом и прижимным роликом, в ходе лущения угол резания автоматически меняется для обеспечения оптимальных параметров лущения (рис. 5).
В цепочке за лущильным станком установлены роторные ножницы для рубки шпона. Они подрубают передний край ленты шпона, разделяя форматный шпон и отходы. Передняя кромка листа шпона распознается при помощи фотоэлементов. Далее прохождение шпона по цепочке контролируется с помощью импульсного кодирующего устройства. Рубка выполняется при вращении ножа, расположенного над нижним резиновым роликом. На ножевом вале установлены три ножа. Автономный датчик системы распознавания контролирует пуск и остановку рубки шпона.
Рис. 5. Изменение угла резания в ходе лущения чурака
За ножницами расположен выходной конвейер с типпельным устройством для отсекания от потока кусков и неформатного шпона. Распознавание осуществляется при помощи фотоэлементов. Далее прохождение шпона по линии контролируется с помощью импульсного кодирующего устройства.
На ножевом валу установлены три ножа. Рубка шпона выполняется при вращении ножа, расположенного над нижним резиновым роликом. Автономный датчик системы распознавания контролирует пуск и остановку процесса рубки шпона.
После ножниц расположен выходной конвейер с типпельным устройством для отсекания кусков и неформатного шпона от потока. Распознавание осуществляется при помощи фотоэлементов, установленных перед типпелем. Форматные листы шпона укладываются стопоукладчиком на подъемник (в базовой модели могут быть один или два подъемника). Управление высотой укладки контролируется фотоэлементом. Полная стопа шпона выкатывается из стопоукладчика при помощи неприводного рольганга. Под линией находится поперечный конвейер необходимой длины для удаления отходов.
Линия RauteLite предназначена для лущения чураков из мягких и твердых пород древесины длиной 3/4/5/6/8 футов (0,9-2,4 м) и диаметром 120-350 мм. После оцилиндровки диаметр чурака может быть 80-300 мм, диаметр карандаша — 30-35 мм. На линии можно получать качественный шпон толщиной 1,2-2,2 мм c разнотолщинностью ±0,1 миллиметра.
Особо следует отметить, что в состав линии лущения входит система OPG (Optimum Peeling Geometry), с помощью которой посредством сервоконтроля достигается синхронизация скорости подачи роликов, изменение величины зазора между ножом и прижимным роликом, изменение заднего угла ножа в процессе лущения. Эта система осуществляет тотальный контроль всех параметров процесса — с момента начала лущения до удаления карандаша, что позволяет обеспечить высокую стабильность толщины шпона.
Подобные линии вряд ли полностью заменят традиционные лущильные станки, но могут занять свою нишу в линейке оборудования для производства лущеного шпона из маломерного сырья и долущивания карандашей. По расчетам автора, уменьшение диаметра карандаша с 75 до 35 мм позволяет увеличить выход шпона на 7,6% (при среднем диаметре чурака 240 мм), поэтому у подобной техники хорошие перспективы при долущивании карандашей и провертышей.
При выполнении этой задачи в линию уже не нужно включать окорочно-лущильный станок. Именно такую укороченную линию фирма Raute поставила на комбинат «СВЕЗА Кострома», в конце 2017 года линия была пущена.
Владимир ВОЛЫНСКИЙ
Все фото из статьи
Тема этой статьи — изготовление фанеры. Мы познакомимся с полным циклом ее производства — от окорки древесных стволов, до отгрузки готового материала на склад. Кроме того, мы выясним, можно ли производить фанеру в домашних условиях.
Одна из стадий производства — подача бревен в лущильный станок.
Производственный цикл
Он состоит из нескольких этапов:
На некоторых этапах стоит остановиться чуть подробнее.
Подготовка бревен
Из чего делается фанера при полном цикле производства?
- Из стволов хвойных и лиственных деревьев;
- Из связующего — клеев на основе искусственных смол.
Наиболее типичный материал фанеры — сосна и береза. Несколько реже применяются пихта, лиственница, кедр, ель, тополь, ольха, липа, осина и бук.
Обратите внимание: хвойная и лиственная фанера заметно различается механической прочностью и производится по разным ГОСТ — 3919.1-96 и 3919.2-96 соответственно.
Спиленные и лишенные сучьев бревна окоряются (очищаются от коры) и нарезаются вручную или на торцовочном станке на отрезки одинаковой длины. В зимнее время стволы предварительно выдерживаются в ванне с теплой водой для придания замерзшей древесине необходимой пластичности.
Окорка ствола.
Оцилиндровка и лущение
Как правило, эти две операции выполняются на одном станке.
Вначале заготовке придается цилиндрическая форма; затем с нее по сужающейся спирали снимается слой древесины толщиной около миллиметра. Оставшийся черенок в производстве не используется.
Нарезка на листы
Она сопровождается сортировкой материала. Дефектные участки листов вырезаются; полосы небольшой (менее 1,5 м) ширины могут быть использованы для склейки в целый лист.
Нарезка шпона на листы и первичная сортировка.
Затем шпон проходит клеевальцы, где он промазывается связующим.
Справка: в производстве фанеры ФК используется карбамидоформальдегидная смола.
Так называемая техническая фанера ФСФ склеивается фенолформальдегидными смолами, что позволяет отнести это производство к категории вредных.
Сушка в прессе
Для сушки листов используется гидравлический пресс с прогревом плит перегретым паром.
Типичная температура сушки около 200 градусов.
Продолжительность этой части цикла составляет от 30 минут до 2 часов в зависимости от толщины листа.
Сушка осуществляется при интенсивной принудительной вентиляции помещения: как уже говорилось, формальдегиды отнюдь не полезны для здоровья.
Выгрузка из пресса.
Обрезка
Просушенный лист представляет собой неопрятный сэндвич с неровными кромками. Чтобы превратиться в готовое для продажи изделие, он проходит обрезку на распиловочном станке.
Обратите внимание: согласно требованиям ГОСТ, кромки листа должны быть строго перпендикулярны друг другу.
Косина может составлять не более 2 мм на погонный метр.
Сортировка
Качество фанеры определяется визуально и, в зависимости от внешнего вида поверхности, позволяет отнести ее к одному из сортов — от элитного до четвертого.
К основным дефектам относятся:
- Живые и выпадающие сучки;
- Разошедшиеся и неразошедшиеся трещины;
- Здоровые и болезненные изменения цвета.
Цена листа в зависимости от сорта может различаться в два раза и более.
Особо стоит отметить два факта:
- Для материала сорта Е (Элита) недопустимы даже резкие переходы цвета и существенные изменения структуры поверхностного слоя шпона;
Фото позволяет оценить разницу между элитным и прочими сортами.
- Расслоение шпона сразу отправляет лист в брак вне зависимости от сорта.
Складирование
Установленная вертикально или под наклоном фанерная плита способна деформироваться под собственным весом благодаря текучести связывающих слои шпона смол.
Кроме того: ферментация может изменить цвет верхнего слоя на ярком солнечном свету.
Именно поэтому содержащаяся в отечественных стандартах инструкция по складированию листов предписывает хранить их строго определенным образом:
- в закрытом помещении с постоянной влажностью;
- защищенными от прямых солнечных лучей;
- в горизонтальном положении, уложенными на поддоны или подкладки.
Складирование материала.
Особый случай
Чтобы избежать путаницы в терминологии, стоит объяснить одну тонкость. Вопреки названию, перфорированная фанера не имеет к слоистому материалу из шпона никакого отношения.
Так называется лист ХДФ (древесноволокнистая плита высокой плотности, она же — прессованный оргалит) с проделанными в нем через равные промежутки отверстиями. Материал используется при оформлении витрин, в качестве филенок шкафных и внутренних дверей и т.д.
Перфорированный ХДФ.
Очумелые ручки
Может ли обычная фанера производиться в условиях небольшой частной мастерской? По полному циклу — едва ли, слишком габаритное оборудование требуется для распаривания, окорки стволов и лущения шпона. А вот склеивать шпон в готовые листы в домашних условиях вполне возможно.
Зачем это нужно? Например, для производства так называемой инженерной паркетной доски, состоящей из фанеры ФК с наклеенным на нее слоем шпона из древесины твердых пород.
Самый очевидный способ наладить кустарное производство — купить клеевальцы и пресс, благо оборудование для производства фанеры б у вполне доступно по стоимости. Однако если фанера своими руками будет производиться не на продажу, а исключительно ради ремонта в собственном доме, оно просто не окупится.
План «Б» состоит в холодной склейке шпона с готовым фанерным листом:
Оклейка фанеры шпоном благородных пород.
- И уложенный на ровное основание лист, и тыльная сторона шпона промазываются клеем ПВА;
- Шпон укладывается на поверхность листа и разглаживается;
- Заготовка придавливается листом толстой (22 — 27 мм) фанеры и пригружается весом 300 — 400 кг, максимально равномерно распределенным по всей поверхности.
Полная просушка клея займет около суток.
По прошествии этого времени лист нарезается на доски нужного размера на обычной стационарной циркулярке.
Затем фрезерный станок или ручной фрезер для дерева с направляющей используется для снятия фаски глубиной около миллиметра.
Внешний вид получившегося материала не уступит покупному паркету.
Обратите внимание: по понятным причинам изготовленный таким образом паркет можно укладывать только на клей.
В отсутствие кликовых замков о плавающей укладке речь не идет.
Заключение
Источник: https://rubankom.com/materialy/proizvodnye/fanera/1917-kak-delayut-faneru
Станок для шпона
Дорогостоящие сорта лесоматериалов являются прекрасным сырьем для создания предметов мебели, однако не все люди могут себе позволить такую дорогую продукцию.
С целью экономии ценных пород древесины и снижения стоимости конечного продукта и был придуман шпон. Этот материал сегодня крайне популярен для облицовки мебели.
Шпон на 100% повторяет узор, текстуру и оттенок натуральной древесины.
Для создания шпона на производствах пользуются специальными станками. Шпон бывает:
- лущеный
- строганый
- пиленый.
Соответственно и станок для производства шпона бывает трех типов.
Лущильный станок для производства шпона
Для реализации лущения шпона сырье необходимо предварительно обработать паром для того, чтобы увеличить пластичность.
После этого кряжи подаются на окорочный станок, где с заготовки удаляется кора, а вместе с ней грязь и песок, которые часто становятся причиной быстрого затупления лущильных ножей.
При помощи пилы кряжи раскраивают на чураки определенной длины. Чурак нужно предварительно оцилиндровать, после чего можно приступать к лущению.
Лента шпона, которая выходит из лущильного станка, кладется на конвейер, подающий ее к ножницам. Ножницы режут шпон на листы необходимого формата.
По конвейеру шпон укладывается в пачку, которая выносится из-под ножниц и при помощи электрического погрузчика доставляется в сушилку.
Сушат продукцию в роликовой сушилке, далее на конвейере его сортируют и складывают по сортам в пачки. Дефектные листы можно склеить. Если на листах имеются сучки, их отправляют на шпонопочиночный станок, где удаляют изъяны и декорируют их вставками из шпона.
Такой станок для шпона позволяет получить листовой материал толщиной от 1,5 до 5 мм из разнообразных сортов лесоматериалов.
На большинстве станков имеется система, которая позволяет в автоматическом режиме устанавливать бревно для последующей обработки.
Чтобы повысить производительность и удобство работы оператора станки оборудуют гидравлическими подъемниками-центроискателями, которые сами определяют подходящую ось вращения заготовки и совмещают ее с осью вращения центровочных валов.
Лущение пропаренной древесины используется для сосновых, ольховых, березовых лесоматериалов. Из лущеного шпона изготавливают фанеру.
Станок для строгания шпона
Прежде всего, кряжи подвергают поперечному раскрою. Во время этой процедуры кряжи распиливают на отрезки необходимой длины.
Все отрезки распиливают вдоль, вследствие чего образуется двухкантный брус. Иногда его распиливают пополам.
После этого ванчесы подвергают тепловой обработке в пропарочной камере или автоклаве.
Оттенок и узор древесины должны совпадать в каждом наборе.
Именно по этой причине листы шпона, которые получаются из каждого ванчеса во время строгания, складывают, сушат и пакуют в пачки точно в том порядке, в каком они выходили из строгального станка.
Когда строгаются одновременно три ванчеса, шпон из каждого из них складывают в три разные пачки. Укомплектованную, высушенную, запакованную и перетянутую шпагатом пачку шпона называют кнолем.
Станок для изготовления шпона позволяет создать из дорогостоящих сортов лесоматериалов, которые отличаются необычной текстурой, тонкие листы. Такой материал отлично подходит для фанерования. Методы создания шпона:
- радиальный
- тангенциальный
- радиально-тангенциальный
- тангенциально-торцовый.
Наиболее привлекательным сырьем для создания шпона является дубовая древесина. Такой шпон используют для облицовки рустикальных предметов мебели элитного сегмента.
Кроме дубового шпона в специализированных магазинах можно встретить кленовый, буковый, липовый материал, а также из красного дерева.
Станок для сшивки шпона
Шпон режут на специализированных аппаратах. Он отличается довольно тонкой и хрупкой структурой.
Для того, чтобы отделать поверхность шпоном, его необходимо соединить между собой для получения полотна, скатываемого в рулоны.
Шпон соединяют двумя способами:
Эти методы одинаково популярны на мебельных производствах. Сшивку шпона осуществляют на станке или ручным способом.
Для небольших мастерских разработаны ручные устройства для склейки или сшивки шпона.
При помощи особого устройства клеевую или термонить разогревают, и в виде зигзага наносят на основную сторону.
Сегодня станки для сшивки шпона представляют собой небольшие аппараты, функционирующие в автономном режиме. Управление такой машиной осуществляет один специалист. Вся работа на них производится четко, качественно и достаточно быстро.
Ручная сшивка встречается все реже, главным образом, в антикварных, реставрационных и авторских мастерских.
Дорогостоящие сорта лесоматериалов являются прекрасным сырьем для создания предметов мебели, однако не все люди могут себе позволить такую дорогую продукцию. С целью экономии ценных пород древесины и снижения стоимости конечного продукта и был придуман шпон. Этот материал сегодня крайне популярен для облицовки мебели. Шпон на 100% повторяет узор, текстуру и оттенок натуральной древесины.
Для создания шпона на производствах пользуются специальными станками. Шпон бывает:
- лущеный
- строганый
- пиленый.
Соответственно и станок для производства шпона бывает трех типов.
Лущильный станок для производства шпона
Для реализации лущения шпона сырье необходимо предварительно обработать паром для того, чтобы увеличить пластичность. После этого кряжи подаются на окорочный станок, где с заготовки удаляется кора, а вместе с ней грязь и песок, которые часто становятся причиной быстрого затупления лущильных ножей.
При помощи пилы кряжи раскраивают на чураки определенной длины. Чурак нужно предварительно оцилиндровать, после чего можно приступать к лущению. Лента шпона, которая выходит из лущильного станка, кладется на конвейер, подающий ее к ножницам. Ножницы режут шпон на листы необходимого формата.
По конвейеру шпон укладывается в пачку, которая выносится из-под ножниц и при помощи электрического погрузчика доставляется в сушилку. Сушат продукцию в роликовой сушилке, далее на конвейере его сортируют и складывают по сортам в пачки. Дефектные листы можно склеить.
Если на листах имеются сучки, их отправляют на шпонопочиночный станок, где удаляют изъяны и декорируют их вставками из шпона.
Такой станок для шпона позволяет получить листовой материал толщиной от 1,5 до 5 мм из разнообразных сортов лесоматериалов. На большинстве станков имеется система, которая позволяет в автоматическом режиме устанавливать бревно для последующей обработки.
Чтобы повысить производительность и удобство работы оператора станки оборудуют гидравлическими подъемниками-центроискателями, которые сами определяют подходящую ось вращения заготовки и совмещают ее с осью вращения центровочных валов.
Лущение пропаренной древесины используется для сосновых, ольховых, березовых лесоматериалов. Из лущеного шпона изготавливают фанеру.
Станок для строгания шпона
Прежде всего, кряжи подвергают поперечному раскрою. Во время этой процедуры кряжи распиливают на отрезки необходимой длины. Все отрезки распиливают вдоль, вследствие чего образуется двухкантный брус. Иногда его распиливают пополам. После этого ванчесы подвергают тепловой обработке в пропарочной камере или автоклаве.
Далее ванчесы нужно острогать на шпонострогальном станке. Строганный шпон сушат в роликовых сушилках, торцуют и пакуют в пачки. В каждом наборе составляется конкретный рисунок. Оттенок и узор древесины должны совпадать в каждом наборе.
Именно по этой причине листы шпона, которые получаются из каждого ванчеса во время строгания, складывают, сушат и пакуют в пачки точно в том порядке, в каком они выходили из строгального станка. Когда строгаются одновременно три ванчеса, шпон из каждого из них складывают в три разные пачки.
Укомплектованную, высушенную, запакованную и перетянутую шпагатом пачку шпона называют кнолем.
Станок для изготовления шпона позволяет создать из дорогостоящих сортов лесоматериалов, которые отличаются необычной текстурой, тонкие листы. Такой материал отлично подходит для фанерования. Методы создания шпона:
- радиальный
- тангенциальный
- радиально-тангенциальный
- тангенциально-торцовый.
Наиболее привлекательным сырьем для создания шпона является дубовая древесина. Такой шпон используют для облицовки рустикальных предметов мебели элитного сегмента.
Кроме дубового шпона в специализированных магазинах можно встретить кленовый, буковый, липовый материал, а также из красного дерева.
Станок для сшивки шпона
Шпон режут на специализированных аппаратах. Он отличается довольно тонкой и хрупкой структурой. Для того, чтобы отделать поверхность шпоном, его необходимо соединить между собой для получения полотна, скатываемого в рулоны. Шпон соединяют двумя способами:
Эти методы одинаково популярны на мебельных производствах. Сшивку шпона осуществляют на станке или ручным способом. Для небольших мастерских разработаны ручные устройства для склейки или сшивки шпона. При помощи особого устройства клеевую или термонить разогревают, и в виде зигзага наносят на основную сторону.
Сегодня станки для сшивки шпона представляют собой небольшие аппараты, функционирующие в автономном режиме. Управление такой машиной осуществляет один специалист. Вся работа на них производится четко, качественно и достаточно быстро.
Ручная сшивка встречается все реже, главным образом, в антикварных, реставрационных и авторских мастерских.
Источник: http://wood-prom.ru/clauses/promyshlennoe-oborudovanie/stanok-dlya-shpona
Как делают фанеру: подготовка бревен, оцилиндровка и лущение, нарезка на листы, сушка в прессе, обрезка, сортировка и складирование
Все фото из статьи
Тема этой статьи — изготовление фанеры. Мы познакомимся с полным циклом ее производства — от окорки древесных стволов, до отгрузки готового материала на склад. Кроме того, мы выясним, можно ли производить фанеру в домашних условиях.
Одна из стадий производства — подача бревен в лущильный станок.
Производственный цикл
Он состоит из нескольких этапов:
На некоторых этапах стоит остановиться чуть подробнее.
Подготовка бревен
Из чего делается фанера при полном цикле производства?
- Из стволов хвойных и лиственных деревьев;
- Из связующего — клеев на основе искусственных смол.
Наиболее типичный материал фанеры — сосна и береза. Несколько реже применяются пихта, лиственница, кедр, ель, тополь, ольха, липа, осина и бук.
Обратите внимание: хвойная и лиственная фанера заметно различается механической прочностью и производится по разным ГОСТ — 3919.1-96 и 3919.2-96 соответственно.
Спиленные и лишенные сучьев бревна окоряются (очищаются от коры) и нарезаются вручную или на торцовочном станке на отрезки одинаковой длины. В зимнее время стволы предварительно выдерживаются в ванне с теплой водой для придания замерзшей древесине необходимой пластичности.
Окорка ствола.
Оцилиндровка и лущение
Как правило, эти две операции выполняются на одном станке. Вначале заготовке придается цилиндрическая форма; затем с нее по сужающейся спирали снимается слой древесины толщиной около миллиметра. Оставшийся черенок в производстве не используется.
Нарезка на листы
Она сопровождается сортировкой материала. Дефектные участки листов вырезаются; полосы небольшой (менее 1,5 м) ширины могут быть использованы для склейки в целый лист.
Нарезка шпона на листы и первичная сортировка.
Затем шпон проходит клеевальцы, где он промазывается связующим.
Справка: в производстве фанеры ФК используется карбамидоформальдегидная смола.
Так называемая техническая фанера ФСФ склеивается фенолформальдегидными смолами, что позволяет отнести это производство к категории вредных.
Сушка в прессе
Для сушки листов используется гидравлический пресс с прогревом плит перегретым паром. Типичная температура сушки около 200 градусов. Продолжительность этой части цикла составляет от 30 минут до 2 часов в зависимости от толщины листа.
Сушка осуществляется при интенсивной принудительной вентиляции помещения: как уже говорилось, формальдегиды отнюдь не полезны для здоровья.
Выгрузка из пресса.
Обрезка
Просушенный лист представляет собой неопрятный сэндвич с неровными кромками. Чтобы превратиться в готовое для продажи изделие, он проходит обрезку на распиловочном станке.
Обратите внимание: согласно требованиям ГОСТ, кромки листа должны быть строго перпендикулярны друг другу.
Косина может составлять не более 2 мм на погонный метр.
Сортировка
Качество фанеры определяется визуально и, в зависимости от внешнего вида поверхности, позволяет отнести ее к одному из сортов — от элитного до четвертого.
К основным дефектам относятся:
- Живые и выпадающие сучки;
- Разошедшиеся и неразошедшиеся трещины;
- Здоровые и болезненные изменения цвета.
Цена листа в зависимости от сорта может различаться в два раза и более.
Особо стоит отметить два факта:
- Для материала сорта Е (Элита) недопустимы даже резкие переходы цвета и существенные изменения структуры поверхностного слоя шпона;
Фото позволяет оценить разницу между элитным и прочими сортами.
- Расслоение шпона сразу отправляет лист в брак вне зависимости от сорта.
Складирование
Установленная вертикально или под наклоном фанерная плита способна деформироваться под собственным весом благодаря текучести связывающих слои шпона смол.
Кроме того: ферментация может изменить цвет верхнего слоя на ярком солнечном свету.
Именно поэтому содержащаяся в отечественных стандартах инструкция по складированию листов предписывает хранить их строго определенным образом:
- в закрытом помещении с постоянной влажностью;
- защищенными от прямых солнечных лучей;
- в горизонтальном положении, уложенными на поддоны или подкладки.
Складирование материала.
Особый случай
Чтобы избежать путаницы в терминологии, стоит объяснить одну тонкость. Вопреки названию, перфорированная фанера не имеет к слоистому материалу из шпона никакого отношения.
Так называется лист ХДФ (древесноволокнистая плита высокой плотности, она же — прессованный оргалит) с проделанными в нем через равные промежутки отверстиями. Материал используется при оформлении витрин, в качестве филенок шкафных и внутренних дверей и т.д.
Перфорированный ХДФ.
Очумелые ручки
Может ли обычная фанера производиться в условиях небольшой частной мастерской? По полному циклу — едва ли, слишком габаритное оборудование требуется для распаривания, окорки стволов и лущения шпона. А вот склеивать шпон в готовые листы в домашних условиях вполне возможно.
Зачем это нужно? Например, для производства так называемой инженерной паркетной доски, состоящей из фанеры ФК с наклеенным на нее слоем шпона из древесины твердых пород.
Самый очевидный способ наладить кустарное производство — купить клеевальцы и пресс, благо оборудование для производства фанеры б у вполне доступно по стоимости. Однако если фанера своими руками будет производиться не на продажу, а исключительно ради ремонта в собственном доме, оно просто не окупится.
План «Б» состоит в холодной склейке шпона с готовым фанерным листом:
Оклейка фанеры шпоном благородных пород.
- И уложенный на ровное основание лист, и тыльная сторона шпона промазываются клеем ПВА;
- Шпон укладывается на поверхность листа и разглаживается;
- Заготовка придавливается листом толстой (22 — 27 мм) фанеры и пригружается весом 300 — 400 кг, максимально равномерно распределенным по всей поверхности.
Полная просушка клея займет около суток. По прошествии этого времени лист нарезается на доски нужного размера на обычной стационарной циркулярке. Затем фрезерный станок или ручной фрезер для дерева с направляющей используется для снятия фаски глубиной около миллиметра.
Внешний вид получившегося материала не уступит покупному паркету.
Обратите внимание: по понятным причинам изготовленный таким образом паркет можно укладывать только на клей.
В отсутствие кликовых замков о плавающей укладке речь не идет.
Заключение
Источник: https://rubankom.com/materialy/proizvodnye/fanera/1917-kak-delayut-faneru
Pereosnastka.ru
Конструкция лущильных станков
К
атегория:
Производство клееной фанеры
Конструкция лущильных станков
Лущильные станки по техническим показателям подразделяют:- по наибольшему расстоянию между центрами шпинделей. Это расстояние определяет максимально возможную длину ножа и длину чураков, подлежащих лущению.
Наиболее распространенными являются станки для лущения чураков длиной 1350, 1650, 1950 мм. Длина чурака определяется размерами листов шпона;
По высоте центров шпинделей над станиной.
Высота центров определяется наибольшим радиусом чурака с припуском 100-150 мм.
Отечественные станки рассчитаны на лущение сырья диаметром 60-70 см. Иностранные фирмы выпускают станки для лущения чураков диаметром более 80 см.
Лущильный станок ЛУ-17-4 состоит из следующих основных частей: станины, двух шпиндельных бабок, суппорта кинематического узла, механизма поджима, центровочно-загрузочного приспособления.
Станина станка служит для крепления всех основных частей станка, восприятия динамических нагрузок резания и вспомогательных операций лущения.
Станина представляет собой жесткую сварную раму из двутавровых балок, на которой установлены чугунные шпиндельные бабки. В раме имеется щель для выброса карандаша вниз на транспортер.
Шпиндельные бабки (правая и левая) служат для закрепления чурака и придают ему вращательное движение.
На рис. 2 показан разрез правой шпиндельной бабки. Шпиндельная бабка имеет два телескопических шпинделя с соответствующими кулачками.
Наличие большого кулачка позволяет избежать раскола чураков в начальный период лущения, а малый кулачок дает возможность лущить карандаш диаметром до 70 мм.
Зажимают чурак на станке следующим образом.
Рис. 1. Станок ЛУ-17-4:
1 — станина, 2 — левая шпиндельная бабка, 3 — центровочно-загрузоч-ное приспособление, 4 — сварная балка, 5 — прижимные ролики, 6 — правая шпиндельная бабка, 7 — механизм прижима чурака, 8 — гидропривод, 9 — пустотелый вал, 10 — чугунная балка, 11 — суппорт, 12 — привод ускоренного перемещения суппорта, 13 — электродвигатель, 14 — механизм подачи чураков
Насос подает масло из гидросистемы в распределитель. Поршень под давлением перемещает шток в большом гидроцилиндре на величину до 150 мм. Шток поршня, жестко связанный с подвижным подшипниковым узлом малого шпинделя, перемещается также на длину гидроцилиндра. На подшипниковом узле малого шпинделя закреплен малый шпиндель. Последний, свободно перемещаясь внутри пустотелого большого шпинделя, кулачком зажимает чурак.
Разрез правой шпиндельной бабки станка ЛУ-17-4:
1 — поршень, 2 — большой гидроцилиндр, 3 — шток поршня, 4 — подвижной подшипниковый узел малого шпинделя, 5 — корпус, 6 — шли-цевая втулка, 7- шпонка шестерни, 8 — шестерня, 9- шпонка звездочки, 10 — звездочка, 11 — гнльза, 12-пустотелый большой шпиндель, 13 — малый кулачок, 14 — большой кулачок, 15 — малый шпиндель, 16 — сферические роликовые подшипники, 17 — шлицевая втулка большого шпинделя, 18 — рычаг, 19 — подвижный подшипниковый узел большого шпинделя, 20 — шлицы, 21 — шпонка, 22 — скользящие шпонки, 23-малый гидроцилиндр, 24 — малый поршень со штоком, 25 — шпилька
Масло одновременно поступает в большой и малый гидроцилиндры. Малый поршень со штоком перемещается в сторону чурака и, действуя на рычаг, смещает подвижный подшипниковый узел большого шпинделя. Величина смещения малого поршня со штоком зависит от размера малого гидроцилиндра и составляет 150 мм. Закрепленный в подвижном подшипниковом узле пустотелый большой шпиндель перемещается на указанную величину и зажимает большим кулачком чурак.
Таким образом, два шпинделя одновременно зажимают чурак закрепленными на них кулачками. Работа левого шпинделя аналогична работе правого.
После зажима чураку придают вращательное движение от главного вала через шестерню. Вращающаяся шестерня через шпонку приводит во вращение гильзу, которая с помощью шлицевой втулки 6 вращает пустотелый большой шпиндель. Большой шпиндель через шлицевую втулку большого шпинделя приводит во вращение малый шпиндель.
Скользящие шпонки предохраняют от вращения подвижные подшипниковые узлы; одновременно они являются направляющими при горизонтальном перемещении этих узлов.
В процессе лущения, когда лущильный нож подходит к вращающемуся кулачку большого шпинделя, гидросистема возвращает большой шпиндель в начальное положение. То же происходит, когда лущильный нож приближается к кулачкам малого шпинделя.
Система подвода масла к гидроцилиндрам для возврата шпинделей в исходное положение была показана на рис. 1.
Подключение гидросистемы к шпиндельным бабкам происходит таким образом, что при подаче масла на поршни большого и малого гидроцилиндров эти поршни возвращаются в исходное положение. Благодаря пустотелой конструкции большого шпинделя и шлицевому соединению двух шпинделей достигается их независимое передвижение относительно друг друга в горизонтальной плоскости.
Благодаря применению шпиндельных бабок стало возможным долущивать чурак диаметром до 70 мм на станке ЛУ-17-4, отказавшись от использования на этой операции малых лущильных станков.
Суппорт лущильного станка предназначен для закрепления ножа, его регулировки, настройки и для придания ему возвратно-поступательного движения (к чураку и обратно).
Суппорт состоит из двух боковых ползунов, перемещающихся по горизонтальным съемным параллелям, расположенным на станине станка; ножевой траверсы — для крепления и регулировки лущильного ножа; траверсы прижимной линейки — для крепления и регулировки прижимной линейки станка; двух суппортных винтов, сообщающих суппорту возвратно-поступательное движение.
Суппорт имеет дополнительные верхние и нижние направляющие, с которыми связана ножевая траверса и при помощи которых изменяется угол резания во время лущения чураков. Прижимная линейка соединена с ножевой траверсой эксцентриковым валом.
Механизм поджима чурака устраняет прогиб чурака в конце лущения под действием сил резания.
Этот механизм состоит из чугунной балки, закрепленной на пустотелом валу, двух пар прижимных роликов, гидроцилиндра перемещения роликов, смонтированного на стальной сварной балке, соединяющей обе бабки станка, а также устройства для регулировки синхронности перемещения ножа и прижимных роликов. Блок прижимных роликов шарнирно соединен с балкой и со штоком гидроцилиндра. Цапфы пустотелого вала установлены в подшипниках, корпуса которых прикреплены к бабкам станка.
Кинематический узел станка служит для связи рабочих органов станка (суппорта и шпиндельных бабок) и придания им рабочих движений.
На рис. 3 приведена кинематическая схема лущильного станка ЛУ-17-4. Сцентрированный и зажатый в шпинделях станка чурак (работа центровочно-загрузочного приспособления будет описана ниже) приводится во вращение от главного вала через шестерни. Главный вал соединен с электродвигателем через клиноременную передачу и электромагнитную муфту.
Кинематическая схема лущильного станка ЛУ-17-4:
1 — главный электродвигатель, 2 и 22 — клиноременная передача, 3 — электромагнитная муфта, 4, 5, 6 — шестерни, 7 — главный вал, 8, 9, 10, 16, 17, 18 — звездочки, 11 — промежуточный вал, 12-правый пустотелый вал, 13 — кулачковая муфта, 14 — передаточный вал, 15 — левый пустотелый вал, 19, 20 — конические шестерни, 21 — суппортный вал, 23 — электродвигатель ускоренного подвода и отвода суппорта, 24 — суппортные винты, 25 — поршни гидроцилиндра следящей системы, 26 — пневмоцилиндры центровки чураков, 27 — механизм подачи чураков, 28 — рукоятка переключения ускоренной и рабочей подачи суппорта, 29 — электромагнит; а, б, в, г — сменные шестерни набора толщин шпона
Левый шпиндель приводится во вращение от главного вата также через шестерни. Шестерня, вращая гильзу правого шпинделя, сообщает вращение звездочке. Звездочка втулочно-роликовой цепью соединена с промежуточным валом через звездочку, жестко закрепленную на промежуточном валу.
Вал приводит во вращение правый пустотелый вал через сменные шестерни а, б, в и г. Через кулачковую муфту, посаженную на скользящую шпонку, вращение с пустотелого вала передается на передаточный вал.
Через звездочку, жестко закрепленную на валу, и втулочно-роли-ковую цепь вращение передается на суппортный вал через звездочку.
Система конических шестерен, приводит в движение суппортные винты, а последние — суппорт, который перемещается по направляющим к вращающемуся чураку. Поступательное движение суппорта осуществляется благодаря суппортным гайкам, жестко связанным с корпусом суппорта.
Величина подачи суппорта за один оборот чурака, т. е.
толщина снимаемого шпона, зависит от расположения сменных шестерен а, б, в и г, так как жесткая связь во всех звеньях кинематической схемы, кроме сменных шестерен а, б, в и г, обеспечивает постоянное передаточное отношение.
Из таблицы видно, что изменение толщины шпона от 0,2 до 3,2 мм достигается в основном сменой шестерни а при взаимном расположении блок-шестерен (б — в) в двух положениях.
К концу лущения, когда диаметр чурака будет приближаться к диаметру малого кулачка шпинделя, рабочая подача суппорта прекращается при переводе кулачковой муфты в нейтральное положение рукояткой. Одно-вРеменно электромагнитную муфту выводят из соединения со шкивом клиноременной передачи и вращение карандаша в шпинделях станка прекращается.
С помощью электромагнитной муфты можно останавливать Движение главного вала, не выключая главного электродвигателя, что целесообразно экономически, так как пусковые моменты при включении электродвига-едя отрицательно сказываются на электроснабжении предприятия.
Гидросистема возвращает шпиндели в исходное положение, а карандаш через щель в станине удаляется транспортером из цеха.
Вращением суппортного вала в обратную сторону по отношению к рабочему движению электродвигателя через клиноременную передачу производится возврат суппорта в исходное положение. Суппорт подают в исходное положение на ускоренной подаче, что дает значительный выигрыш во времени. После этого электродвигатель выключают. В таком положении лущильный станок готов для лущения очередного чурака. Далее операция повторяется, как указано выше.
Кроме рабочей подачи, которая обеспечивает получение шпона заданной толщины, лущильный станок имеет ускоренную подачу, которая применяется в начальный период лущения для снятия больших неровностей на чураке.
Включение ускоренной подачи производится муфтой левого пустотелого вала. Вращение вала через муфту передается валу. Далее вращение передается как при рабочей подаче. Вращение вала 15 осуществляется от пала звездочками и втулочно-роликовой цепью.
В этом случае система сменных шестерен а, б, в иг отключена и в работе участия не принимает.
После окончания обдирки (на ускоренной подаче суппорта) передвигают рукояткой кулачковую муфту, тем самым отключая вал и включая вал. Далее происходит процесс лущения на рабочей подаче. Электромагнит служит для автоматического перевода кулачковой муфты в нейтральное положение.
Рис. 4. Схема устройства центровочно-загрузочного приспособления:
1 — свободно вращающаяся ось, 2- пневматический цилиндр, 3 — рычаг, 4 — груз, 5 — верхняя шестерня, 6 — сектор без зубцов, 7 — клещевые захваты, 8 — двухходовой кран, 9 — нижняя шестерня, 10 — зубчатые сектора
Центровочно-загрузочное приспособление служит для правильной центровки чурака, т. е. сокращения отпада шпона в процессе лущения, и для загрузки чурака в лущильный станок.
На лущильных станках устанавливают, как правило, Центровочно-загрузочное приспособление системы А. Жукова, В. П. Банко и А. А. Порохина. Благодаря этому приспособлению стало возможным одновременно выполнять центровку чурака и подачу его к шпинделям лущильного станка.
Центровочно-загрузочное приспособление состоит из Двух пневматических цилиндров, свободно поворачивающихся на осях, прикрепленных к станине лущильного станка. На выступающих ступицах нижних шестерен укреплены рычаги с разрезными хомутами, что позволяет крепить рычаги на ступице в любом положении. Рычаги шарнирно соединены со штоками поршней пневматических цилиндров.
Подъем и центровка чурака осуществляется поворотом рукоятки двухходового крана. При этом сжатый воздух поступает в пневматические цилиндры. При подъеме поршней штоки поворачивают рычаги, которые при помощи шестерен и зубчатых секторов сводят клещевые захваты до соприкосновения их с поверхностью чурака.
Во время зажима чурака шпинделями происходит его осевое перемещение. Неровности чурака могут несколько разводить губки клещевых захватов за счет компрессии воздуха в цилиндрах, не создавая в звеньях механизма дополнительных усилий.
Скорость сжатия клещевых захватов регулируется степенью открытия воздушного крана.
Разведение клещевых захватов осуществляется под действием грузов, закрепленных на концах рычагов, или пружинами, как показано на рис. 19. Повернув рукоятку двухходового крана, открывают отверстие для выхода воздуха.
Приспособление работает при давлении в сети 4- 4,5 ати. Расход воздуха на один лущильный станок составляет 0,7 м3/ч. Верхние и нижние клещи закреплены на валах с помощью сквозных призматических шпонок в соответствующих положениях по отношению к зубчатым секторам.
Регулирование взаимного положения верхних и нижних клещей, обеспечивающее симметричность их движения (от чего зависит точность центровки), осуществляется при помощи особого устройства. Верхние секторы этого устройства двойные. Сектор без зубцов жестко скреплен с осью верхней клешни, а зубчатый сектор сидит на оси свободно и связан с верхней шестерней. Он может смещаться относительно сектора и жестко скрепляться с ним в нужном положении.
Для повышения точности центровки угол вилок доведен до 90°, нижние вилки жестко соединены с клещами, а верхние оставлены свободно вращающимися в пальцах. Для устранения наезда суппорта на клещи (при неполном их разведении) на станке установлена электрическая автоблокировка.
Кроме перечисленных выше основных частей, лущильный станок имеет также механизм подачи чураков, гидропривод, электрооборудование с автоблокировкой.
Шпон относится к древесным материалам, имеющим вид тонких листов древесины, толщина которых колеблется в пределах 0,5-3,0 мм. Шпон, как правило, наклеивается на деревянные панели или ДВП, придавая таким образом материалу более эстетичный и привлекательный вид.
Схема укладки и разметки шпона.
Разновидности шпона
Шпон подразделяется на различные виды. В зависимости от способа производства, материал делится на:
- лущеный;
- пиленый;
- строганый.
Виды шпона.
В зависимости от внешнего вида, шпон подразделяется на следующие виды:
- Натуральный. Такой материал имеет вид тонких листов натурального цвета и структуры. Главной задачей при производстве такого материала является сохранение натуральности дерева. Достоинствами натурального шпона является его экологичность, сохранение уникальный структуры дерева, привлекательный внешний вид. Изделия, отделанные материалом, схожи с изделиями из массива дерева, однако стоят на порядок ниже, а вес конструкции — меньше.
- Цветной. При изготовлении цветного шпона его поверхность прокрашивается, обрабатывается морилкой. В результате материал отличается широкой гаммой расцветок.
- Файн-лайн. Данный тип материала получается в результате реконструкции лущеного шпона, получаемого из мягких пород древесины. Изначально формируются блоки, из которых в дальнейшем производится шпон различной структуры, рисунка и цвета натурального дерева. Такой способ позволяет имитировать ценные породы дерева при изготовлении материала из более дешевой древесины. В результате шпон имеет более эстетичный вид, а стоит дешевле.
Шпон нашел применение при изготовлении различных конструкций и изделий. Наиболее популярен материал для отделки дверей, мебели, для изготовления фанеры. Также довольно часто применяют в производстве корпуса гитар, при проведении декоративных работ. Кроме того, шпон широко используется в тюнинге автомобилей, для отделки салона.
Стоит заметить, что некоторые производители экономят на качественном клее и лаке, используя недоброкачественные составы. Все это существенно сказывается на экологической чистоте изделия.
Статья по теме:
Стереоскопические обои 3Д, применение для кухни, спальни и других помещений
Способы изготовления шпона
Схема изготовления шпона.
Как было указано выше, шпон по способу изготовления делится на три вида.
Рассмотрим подробнее эти способы производства материала.
- Метод лущения. В данном случае используется специально подготовленная древесина, при вращении которой с помощью специального станка снимается верхний слой. При производстве шпона методом лущения используются мягкие и твердые породы. При такой обработке верхний слой срезается спирально. В результате получаются большие листы шпона, однако рисунок у них не очень четкий и яркий. Поэтому лущеный шпон чаще всего наклеивают на фанеру.
- Метод строгания. При таком способе верхний слой древесины срезается в поперечном или продольном направлении. Делают шпон данного типа только из древесины твердых пород. В результате получается лист материала довольно большой плотности с ярким и красивым рисунком. Поэтому строганый шпон используется в производстве мебели и дверей.
- Метод пиления. В данном случае шпон получают путем отпиливания от подготовленного бревна листов с минимальной толщиной. Материал, полученный данным способом, является самым дорогим, так как при производстве образуется большое количество отходов.
При производстве шпона важно уделить внимание и качеству самой древесины. Дерево должно иметь ровный ствол с минимальным количеством сучков и веток. Подготовленное бревно осматривается специалистом и определяется им на тот или иной способ обработки.
Шпонирование деревянной основы, еще называют фанерованием. Шпонирование, как собственно говоря, фанерование, подразумевает под собой приклеивание тонких пластин дерева, шпона, на деревянную основу. Основа это столы, двери, шкафы, стены и прочие деревянные поверхности. Более подробно, о том, какие виды фанерования существуют, зачем это делать и как производить шпонирование своими руками, расскажем в статье.
Для чего шпонируют
мебель
Шпон — это тонкая
пластина древесины, как правило, ценных
пород. Используют шпон, для того, чтобы
обычное, недорогое дерево, стало по всем
внешним признакам, ценной, дорогой
породой.
Вследствие этого, цена на шпонированную мебель, в разы ниже, чем на массив дерева ценных пород. А внешний вид практически ничем не уступает второму.
Кроме выгоды в
стоимости, использование шпона, дает
широкие возможности для дизайна. Им же
можно обклеить старую мебель, тем самым
вдохнуть в нее вторую жизнь.
Какие бывают виды
шпонирования
Основными видами
шпонирования или фанерования, являются
три вида. А именно, горячее, холодное и
мембранное шпонирование.
Самым доступным методом, для домашнего использования, является метод горячего шпонирования. Тут шпон приклеивается к основе клеящим составом.
Остальные
два вида шпонирования -холодное и
мембранное, требует специальных станков
и других производственных мощностей.
Так, холодное шпонирование это прессование
шпона к основе. Для этого используются
прессовальные аппараты или винтовые
ваймы.
Мембранное шпонирование производится на сложных рельефных поверхностях. И базируется на вакуумном соединении гладких и рельефных плит и шпона
Процесс шпонирования
своими руками
Как мы уже говорили
ранее, самым доступным способом, для
домашнего использования, является
горячее фанерование. Для работы вам
понадобятся следующие основные материалы
и инструменты из списка:
- Основа для шпонирования
- Шпон из дерева
- Нож фанерный
- ПВА клей
- Чистый лист бумаги
- Валик или деревянный брусок, для затирки шпона
- Наждачка
- Утюг, чем тяжелее, тем лучше
- Резак
Подготовительные
работы
Прежде, чем
приступить к шпонированию, нужно, в
первую очередь, подготовить шпон. Шпон
натурального происхождения, часто
скручивают в рулон. Шпон, также может
быть покоробленным и так далее.
Чтобы придать шпону правильное положение, смочите его увлажненной водой, губкой, и положите между двумя листами фанеры. А чтобы ушла лишняя влага, проложите между фанерой и шпоном, с обеих сторон шпона, упаковочную бумагу.
Чаще всего, для
отделки мебели применяют строганный
шпон. Это узкие, но длинные листы. Ширина
строганного шпона, как правило, не шире
30 сантиметров.
Поэтому, после выравнивания и удаления лишней влаги с поверхности шпона, нарезаем листы, необходимой длины. Если, для примера, вы хотите обклеить стол, то шпон должен слегка выступать ха края основы. Лишнее, по окончании процесса шпонирования, можно будет срезать или зашкурить.
Кстати, не режьте
шпон ножом или ножницами. Шпон может
растрескаться и режется от неровно
этими приспособлениями. Для резки шпона
используйте фанерный нож или строгальный
станок.
Склеивание шпона
и основы
Клей ПВА наносим на шпон и на основу. На основе промазываем участок основы. Лучше всего, клеем промазывать дважды. Первый слой клея сушим почти до полного высыхания, чтобы клей практически перестал липнуть. Второй слой просушиваем до отлипа.
Следующим этапом, разогреваем утюг до 50 градусов. Это, примерно, средняя температура на утюга. И через лист белой бумаги утюжим шпон. После прохода утюгом, сразу же начинаем притирать валиком или бруском, шпон и основу.
При постройке моделей часто приходится применять шпон различной толщины. Обычно нужную толщину получают шлифованием с помощью грибка с наклеенной на торце шкуркой, вставленного в патрон сверлильного станка. Такой способ самый доступный, но он имеет ряд недостатков: низкая производительность, невозможность обработать шпон толщиной менее 0,5 мм, поскольку из-за вращения грибка шпон вырывается из рук и ломается, и, наконец, основной недостаток — это большая загрязнённость воздуха древесной пылью. Обработать больше трёх-четырёх пластин не удаётся даже в респираторе.
Всех этих недостатков лишён сконструированный мной шлифовальный станок, работающий по принципу встречного фрезерования. Он был изготовлен (за исключением сварочных работ) в условиях авиамодельной лаборатории. В его конструкции отсутствуют дефицитные детали и материалы.
Все узлы станка крепятся на основании, представляющем собой параллелепипед размерами 200x265x340 мм, сваренный из стальных уголков 40x40x4 мм. К основанию привариваются, кроме того, два кронштейна, изготовленные из швеллера № 8, для крепления корпусов подшипников барабана.
Барабан (основной рабочий орган) и его шкив — литые. В качестве материала использован алюминиевый сплав АЛ-25, из которого сделаны поршни автомобильных двигателей. Поршни расплавляются в муфельной печке, а затем отливаются в песчаную форму. Отверстия в барабане под поворотный болт-зажим шкурки и противовесный болт должны быть просверлены симметрично относительно его оси. Кстати, масса у первого (вместе с «собачкой» фиксатором) и масса второго должны быть равные. В противном случае в результате дисбаланса возникнет вибрация, которая приведёт к преждевременному износу подшипников и отразится на работоспособности станка.
Корпуса подшипников выполнены сварными. Окончательный размер под подшипники в корпусах растачивается после сварки. Барабан приводится во вращение при помощи клиноремён-ной передачи от электродвигателя мощностью не менее 300 Вт, с числом оборотов в минуту от трёх до пяти тысяч, с достаточно большим пусковым моментом, так как барабан имеет довольно приличную массу, несмотря на то, что он выполнен из алюминиевого сплава. Этому требованию отвечают коллекторные электродвигатели. Я использовал на станке мотор от бытового электрополотёра.
Принципиально важным в предлагаемой мною конструкции шлифовального станка является наличие системы отсоса загрязнённого опилками и древесной пылью воздуха. Эта система делает станок экологически чистым и более «комфортабельным» при работе, так как позволяет обойтись без респиратора. Для отсоса опилок использован центробежный вентилятор-нагнетатель системы отопления салона автомобиля, который устанавливается на резьбовом конце оси барабана. Такой «пылесос» по производительности не уступает бытовому агрегату.
Кожух вентилятора крепится к кронштейну подшипника при помощи винтов-барашков, позволяющих быстро снимать его, когда возникает необходимость заменить износившуюся шкурку. На нагнетательный патрубок надевается мешочек из плотной ткани для сбора опилок. Всасывающее отверстие кожуха вентилятора соединяется с полостью кожуха барабана при помощи патрубка. Патрубок выклеивается из стеклоткани на пенопластовой болванке, которая затем выплавляется ацетоном. Полость кожуха барабана образована двумя концентрическими оболочками,приваренными к торцевым пластинам-фланцам. Внутренняя из них может быть приварена прерывистым швом, а наружная — обязательно сплошным, во избежание потерь давления. Расстояние между оболочками выбирается из условия равенства площади всасывающего отверстия кожуха вентилятора площади двух щелей, образуемых оболочками. В переднюю щель всасываются опилки, выбрасываемые барабаном при шлифовке, а в заднюю — опилки, которые захватываются шкуркой и выбрасываются центробежной силой барабана.
Кожухи барабана и ременной передачи и обшивка основания станка изготовлены из стального листа толщиной 1,5 мм. Ось барабана выточена из стали 30, а остальные детали — из стали 10.
Операция по заправке шкурки проста и достаточно наглядно показана на рисунке. Натяжка шкурки осуществляется при помощи рычага-«собачки»,надетого на квадратную часть поворотного болта-зажима шкурки и фиксирующегося в одном из пяти положений.
Стол изготавливается из стального листа толщиной 10 мм и имеет размеры 180×350 мм. Его рабочая поверхность должна быть ровной, по возможности отшлифованной на плоскошлифовальном станке. Стол, шарнирно закреплённый на основании, поднимается и опускается при помощи регулировочного болта, что даёт возможность получать шпон толщиной от 0,3 до 30 мм. Необходимый размер устанавливается по линейке, привинченной к основанию. Линейка градуируется при помощи мерных брусков, зажимаемых между барабаном и столом.
О неплохой производительности станка красноречиво свидетельствует тот факт, что за один проход можно снимать «стружку» толщиной до 1,5 мм.
Дорогостоящие сорта лесоматериалов являются прекрасным сырьем для создания предметов мебели, однако не все люди могут себе позволить такую дорогую продукцию. С целью экономии ценных пород древесины и снижения стоимости конечного продукта и был придуман шпон. Этот материал сегодня крайне популярен для облицовки мебели. Шпон на 100% повторяет узор, текстуру и оттенок натуральной древесины.
Для создания шпона на производствах пользуются специальными станками. Шпон бывает:
Соответственно и станок для производства шпона бывает трех типов.
Лущильный станок для производства шпона
Для реализации лущения шпона сырье необходимо предварительно обработать паром для того, чтобы увеличить пластичность. После этого кряжи подаются на окорочный станок, где с заготовки удаляется кора, а вместе с ней грязь и песок, которые часто становятся причиной быстрого затупления лущильных ножей. При помощи пилы кряжи раскраивают на чураки определенной длины. Чурак нужно предварительно оцилиндровать, после чего можно приступать к лущению. Лента шпона, которая выходит из лущильного станка, кладется на конвейер, подающий ее к ножницам. Ножницы режут шпон на листы необходимого формата. По конвейеру шпон укладывается в пачку, которая выносится из-под ножниц и при помощи электрического погрузчика доставляется в сушилку. Сушат продукцию в роликовой сушилке, далее на конвейере его сортируют и складывают по сортам в пачки. Дефектные листы можно склеить. Если на листах имеются сучки, их отправляют на шпонопочиночный станок, где удаляют изъяны и декорируют их вставками из шпона.

Чтобы повысить производительность и удобство работы оператора станки оборудуют гидравлическими подъемниками-центроискателями, которые сами определяют подходящую ось вращения заготовки и совмещают ее с осью вращения центровочных валов.
Лущение пропаренной древесины используется для сосновых, ольховых, березовых лесоматериалов. Из лущеного шпона изготавливают фанеру.
Станок для строгания шпона
Прежде всего, кряжи подвергают поперечному раскрою. Во время этой процедуры кряжи распиливают на отрезки необходимой длины. Все отрезки распиливают вдоль, вследствие чего образуется двухкантный брус. Иногда его распиливают пополам. После этого ванчесы подвергают тепловой обработке в пропарочной камере или автоклаве.
Далее ванчесы нужно острогать на шпонострогальном станке. Строганный шпон сушат в роликовых сушилках, торцуют и пакуют в пачки. В каждом наборе составляется конкретный рисунок. Оттенок и узор древесины должны совпадать в каждом наборе. Именно по этой причине листы шпона, которые получаются из каждого ванчеса во время строгания, складывают, сушат и пакуют в пачки точно в том порядке, в каком они выходили из строгального станка. Когда строгаются одновременно три ванчеса, шпон из каждого из них складывают в три разные пачки. Укомплектованную, высушенную, запакованную и перетянутую шпагатом пачку шпона называют кнолем.

- радиальный
- тангенциальный
- радиально-тангенциальный
- тангенциально-торцовый.
Наиболее привлекательным сырьем для создания шпона является дубовая древесина. Такой шпон используют для облицовки рустикальных предметов мебели элитного сегмента.
Кроме дубового шпона в специализированных магазинах можно встретить кленовый, буковый, липовый материал, а также из красного дерева.
Станок для сшивки шпона
Шпон режут на специализированных аппаратах. Он отличается довольно тонкой и хрупкой структурой. Для того, чтобы отделать поверхность шпоном, его необходимо соединить между собой для получения полотна, скатываемого в рулоны. Шпон соединяют двумя способами:
Эти методы одинаково популярны на мебельных производствах. Сшивку шпона осуществляют на станке или ручным способом. Для небольших мастерских разработаны ручные устройства для склейки или сшивки шпона. При помощи особого устройства клеевую или термонить разогревают, и в виде зигзага наносят на основную сторону.

Ручная сшивка встречается все реже, главным образом, в антикварных, реставрационных и авторских мастерских.
Вы можете встроить плеер с данным видео в сайт. Для этого выберите размер плеера и скопируйте полученный код.
Описание
Максимальная толщина шпона 8 мм. , длина до 900 мм, ширина от 30 до 105 мм.Производительность 20 куб.м. за смену. Скорость и толщину дощечек регулирует компьютер.
- img=»»>
Одна из стадий производства — подача бревен в лущильный станок.
Производственный цикл
Он состоит из нескольких этапов:
На некоторых этапах стоит остановиться чуть подробнее.
Подготовка бревен
Из чего делается фанера при полном цикле производства?
- Из стволов хвойных и лиственных деревьев;
- Из связующего — клеев на основе искусственных смол.
Наиболее типичный материал фанеры — сосна и береза. Несколько реже применяются пихта, лиственница, кедр, ель, тополь, ольха, липа, осина и бук.
Обратите внимание: хвойная и лиственная фанера заметно различается механической прочностью и производится по разным ГОСТ — 3919.1-96 и 3919.2-96 соответственно.
Спиленные и лишенные сучьев бревна окоряются (очищаются от коры) и нарезаются вручную или на торцовочном станке на отрезки одинаковой длины. В зимнее время стволы предварительно выдерживаются в ванне с теплой водой для придания замерзшей древесине необходимой пластичности.
Оцилиндровка и лущение
Как правило, эти две операции выполняются на одном станке. Вначале заготовке придается цилиндрическая форма; затем с нее по сужающейся спирали снимается слой древесины толщиной около миллиметра. Оставшийся черенок в производстве не используется.
Нарезка на листы
Она сопровождается сортировкой материала. Дефектные участки листов вырезаются; полосы небольшой (менее 1,5 м) ширины могут быть использованы для склейки в целый лист.
Нарезка шпона на листы и первичная сортировка.
Затем шпон проходит клеевальцы, где он промазывается связующим.
Справка: в производстве фанеры ФК используется карбамидоформальдегидная смола.
Так называемая техническая фанера ФСФ склеивается фенолформальдегидными смолами, что позволяет отнести это производство к категории вредных.Сушка в прессе
Для сушки листов используется гидравлический пресс с прогревом плит перегретым паром. Типичная температура сушки около 200 градусов. Продолжительность этой части цикла составляет от 30 минут до 2 часов в зависимости от толщины листа.
Сушка осуществляется при интенсивной принудительной вентиляции помещения: как уже говорилось, формальдегиды отнюдь не полезны для здоровья.
Выгрузка из пресса.
Обрезка
Просушенный лист представляет собой неопрятный сэндвич с неровными кромками. Чтобы превратиться в готовое для продажи изделие, он проходит обрезку на распиловочном станке.
Обратите внимание: согласно требованиям ГОСТ, кромки листа должны быть строго перпендикулярны друг другу.
Косина может составлять не более 2 мм на погонный метр.Сортировка
Качество фанеры определяется визуально и, в зависимости от внешнего вида поверхности, позволяет отнести ее к одному из сортов — от элитного до четвертого.
К основным дефектам относятся:
- Живые и выпадающие сучки;
- Разошедшиеся и неразошедшиеся трещины;
- Здоровые и болезненные изменения цвета.
Цена листа в зависимости от сорта может различаться в два раза и более.
Особо стоит отметить два факта:
- Для материала сорта Е (Элита) недопустимы даже резкие переходы цвета и существенные изменения структуры поверхностного слоя шпона;
Фото позволяет оценить разницу между элитным и прочими сортами.
- Расслоение шпона сразу отправляет лист в брак вне зависимости от сорта.
Складирование
Установленная вертикально или под наклоном фанерная плита способна деформироваться под собственным весом благодаря текучести связывающих слои шпона смол.
Кроме того: ферментация может изменить цвет верхнего слоя на ярком солнечном свету.
Именно поэтому содержащаяся в отечественных стандартах инструкция по складированию листов предписывает хранить их строго определенным образом:
- в закрытом помещении с постоянной влажностью;
- защищенными от прямых солнечных лучей;
- в горизонтальном положении, уложенными на поддоны или подкладки.
Особый случай
Чтобы избежать путаницы в терминологии, стоит объяснить одну тонкость. Вопреки названию, перфорированная фанера не имеет к слоистому материалу из шпона никакого отношения.
Так называется лист ХДФ (древесноволокнистая плита высокой плотности, она же — прессованный оргалит) с проделанными в нем через равные промежутки отверстиями. Материал используется при оформлении витрин, в качестве филенок шкафных и внутренних дверей и т.д.
Очумелые ручки
Может ли обычная фанера производиться в условиях небольшой частной мастерской? По полному циклу — едва ли, слишком габаритное оборудование требуется для распаривания, окорки стволов и лущения шпона. А вот склеивать шпон в готовые листы в домашних условиях вполне возможно.
Зачем это нужно? Например, для производства так называемой инженерной паркетной доски, состоящей из фанеры ФК с наклеенным на нее слоем шпона из древесины твердых пород.
Самый очевидный способ наладить кустарное производство — купить клеевальцы и пресс, благо оборудование для производства фанеры б у вполне доступно по стоимости. Однако если фанера своими руками будет производиться не на продажу, а исключительно ради ремонта в собственном доме, оно просто не окупится.
План «Б» состоит в холодной склейке шпона с готовым фанерным листом:
Оклейка фанеры шпоном благородных пород.
- И уложенный на ровное основание лист, и тыльная сторона шпона промазываются клеем ПВА;
- Шпон укладывается на поверхность листа и разглаживается;
- Заготовка придавливается листом толстой (22 — 27 мм) фанеры и пригружается весом 300 — 400 кг, максимально равномерно распределенным по всей поверхности.
Полная просушка клея займет около суток. По прошествии этого времени лист нарезается на доски нужного размера на обычной стационарной циркулярке. Затем фрезерный станок или ручной фрезер для дерева с направляющей используется для снятия фаски глубиной около миллиметра.
Обратите внимание: по понятным причинам изготовленный таким образом паркет можно укладывать только на клей.
В отсутствие кликовых замков о плавающей укладке речь не идет.Заключение
Надеемся, что наш материал покажется уважаемому читателю достаточно познавательным. Обсудить его можно в комментариях, а видео в этой статье предложит дополнительную тематическую информацию. Успехов!
Дорогостоящие сорта лесоматериалов являются прекрасным сырьем для создания предметов мебели, однако не все люди могут себе позволить такую дорогую продукцию. С целью экономии ценных пород древесины и снижения стоимости конечного продукта и был придуман шпон. Этот материал сегодня крайне популярен для облицовки мебели. Шпон на 100% повторяет узор, текстуру и оттенок натуральной древесины.
Для создания шпона на производствах пользуются специальными станками. Шпон бывает:
- лущеный
- строганый
- пиленый.
Соответственно и станок для производства шпона бывает трех типов.
Для реализации лущения шпона сырье необходимо предварительно обработать паром для того, чтобы увеличить пластичность. После этого кряжи подаются на окорочный станок, где с заготовки удаляется кора, а вместе с ней грязь и песок, которые часто становятся причиной быстрого затупления лущильных ножей. При помощи пилы кряжи раскраивают на чураки определенной длины. Чурак нужно предварительно оцилиндровать, после чего можно приступать к лущению. Лента шпона, которая выходит из лущильного станка, кладется на конвейер, подающий ее к ножницам. Ножницы режут шпон на листы необходимого формата. По конвейеру шпон укладывается в пачку, которая выносится из-под ножниц и при помощи электрического погрузчика доставляется в сушилку. Сушат продукцию в роликовой сушилке, далее на конвейере его сортируют и складывают по сортам в пачки. Дефектные листы можно склеить. Если на листах имеются сучки, их отправляют на шпонопочиночный станок, где удаляют изъяны и декорируют их вставками из шпона.
Такой станок для шпона позволяет получить листовой материал толщиной от 1,5 до 5 мм из разнообразных сортов лесоматериалов. На большинстве станков имеется система, которая позволяет в автоматическом режиме устанавливать бревно для последующей обработки.
Чтобы повысить производительность и удобство работы оператора станки оборудуют гидравлическими подъемниками-центроискателями, которые сами определяют подходящую ось вращения заготовки и совмещают ее с осью вращения центровочных валов.
Лущение пропаренной древесины используется для сосновых, ольховых, березовых лесоматериалов. Из лущеного шпона изготавливают фанеру.
Прежде всего, кряжи подвергают поперечному раскрою. Во время этой процедуры кряжи распиливают на отрезки необходимой длины. Все отрезки распиливают вдоль, вследствие чего образуется двухкантный брус. Иногда его распиливают пополам. После этого ванчесы подвергают тепловой обработке в пропарочной камере или автоклаве.
Далее ванчесы нужно острогать на шпонострогальном станке. Строганный шпон сушат в роликовых сушилках, торцуют и пакуют в пачки. В каждом наборе составляется конкретный рисунок. Оттенок и узор древесины должны совпадать в каждом наборе. Именно по этой причине листы шпона, которые получаются из каждого ванчеса во время строгания, складывают, сушат и пакуют в пачки точно в том порядке, в каком они выходили из строгального станка. Когда строгаются одновременно три ванчеса, шпон из каждого из них складывают в три разные пачки. Укомплектованную, высушенную, запакованную и перетянутую шпагатом пачку шпона называют кнолем.

- радиальный
- тангенциальный
- радиально-тангенциальный
- тангенциально-торцовый.
Наиболее привлекательным сырьем для создания шпона является дубовая древесина. Такой шпон используют для облицовки рустикальных предметов мебели элитного сегмента.
Кроме дубового шпона в специализированных магазинах можно встретить кленовый, буковый, липовый материал, а также из красного дерева.
Шпон режут на специализированных аппаратах. Он отличается довольно тонкой и хрупкой структурой. Для того, чтобы отделать поверхность шпоном, его необходимо соединить между собой для получения полотна, скатываемого в рулоны. Шпон соединяют двумя способами:
- склейка
- сшивка.
Эти методы одинаково популярны на мебельных производствах. Сшивку шпона осуществляют на станке или ручным способом. Для небольших мастерских разработаны ручные устройства для склейки или сшивки шпона. При помощи особого устройства клеевую или термонить разогревают, и в виде зигзага наносят на основную сторону.

Ручная сшивка встречается все реже, главным образом, в антикварных, реставрационных и авторских мастерских.
Копировальные станки очень помогают в создании конкретной детали по шаблону для партий небольшого объема. Копировально-фрезерный станок применяют как на предприятиях, занимающихся производством продукции для крупных оптовых клиентов, так и в мелких мастерских, а также для бытого использования. Промышленные станки способны создавать изделия почти в неограниченном количестве. Однако в этой статье мы расскажем о том, как сделать копировально-фрезерный станок своими руками для мелкосерийного мебельного производства.
21 марта
При постройке моделей часто приходится применять шпон различной толщины. Обычно нужную толщину получают шлифованием с помощью грибка с наклеенной на торце шкуркой, вставленного в патрон сверлильного станка. Такой способ самый доступный, но он имеет ряд недостатков: низкая производительность, невозможность обработать шпон толщиной менее 0,5 мм, поскольку из-за вращения грибка шпон вырывается из рук и ломается, и, наконец, основной недостаток — это большая загрязнённость воздуха древесной пылью. Обработать больше трёх-четырёх пластин не удаётся даже в респираторе.
Всех этих недостатков лишён сконструированный мной шлифовальный станок, работающий по принципу встречного фрезерования. Он был изготовлен (за исключением сварочных работ) в условиях авиамодельной лаборатории. В его конструкции отсутствуют дефицитные детали и материалы.
Все узлы станка крепятся на основании, представляющем собой параллелепипед размерами 200x265x340 мм, сваренный из стальных уголков 40x40x4 мм. К основанию привариваются, кроме того, два кронштейна, изготовленные из швеллера № 8, для крепления корпусов подшипников барабана.
Барабан (основной рабочий орган) и его шкив — литые. В качестве материала использован алюминиевый сплав АЛ-25, из которого сделаны поршни автомобильных двигателей. Поршни расплавляются в муфельной печке, а затем отливаются в песчаную форму. Отверстия в барабане под поворотный болт-зажим шкурки и противовесный болт должны быть просверлены симметрично относительно его оси. Кстати, масса у первого (вместе с «собачкой» фиксатором) и масса второго должны быть равные. В противном случае в результате дисбаланса возникнет вибрация, которая приведёт к преждевременному износу подшипников и отразится на работоспособности станка.
Корпуса подшипников выполнены сварными. Окончательный размер под подшипники в корпусах растачивается после сварки. Барабан приводится во вращение при помощи клиноремён-ной передачи от электродвигателя мощностью не менее 300 Вт, с числом оборотов в минуту от трёх до пяти тысяч, с достаточно большим пусковым моментом, так как барабан имеет довольно приличную массу, несмотря на то, что он выполнен из алюминиевого сплава. Этому требованию отвечают коллекторные электродвигатели. Я использовал на станке мотор от бытового электрополотёра.
Принципиально важным в предлагаемой мною конструкции шлифовального станка является наличие системы отсоса загрязнённого опилками и древесной пылью воздуха. Эта система делает станок экологически чистым и более «комфортабельным» при работе, так как позволяет обойтись без респиратора. Для отсоса опилок использован центробежный вентилятор-нагнетатель системы отопления салона автомобиля, который устанавливается на резьбовом конце оси барабана. Такой «пылесос» по производительности не уступает бытовому агрегату.
Кожух вентилятора крепится к кронштейну подшипника при помощи винтов-барашков, позволяющих быстро снимать его, когда возникает необходимость заменить износившуюся шкурку. На нагнетательный патрубок надевается мешочек из плотной ткани для сбора опилок. Всасывающее отверстие кожуха вентилятора соединяется с полостью кожуха барабана при помощи патрубка. Патрубок выклеивается из стеклоткани на пенопластовой болванке, которая затем выплавляется ацетоном. Полость кожуха барабана образована двумя концентрическими оболочками,приваренными к торцевым пластинам-фланцам. Внутренняя из них может быть приварена прерывистым швом, а наружная — обязательно сплошным, во избежание потерь давления. Расстояние между оболочками выбирается из условия равенства площади всасывающего отверстия кожуха вентилятора площади двух щелей, образуемых оболочками. В переднюю щель всасываются опилки, выбрасываемые барабаном при шлифовке, а в заднюю — опилки, которые захватываются шкуркой и выбрасываются центробежной силой барабана.
Кожухи барабана и ременной передачи и обшивка основания станка изготовлены из стального листа толщиной 1,5 мм. Ось барабана выточена из стали 30, а остальные детали — из стали 10.
Операция по заправке шкурки проста и достаточно наглядно показана на рисунке. Натяжка шкурки осуществляется при помощи рычага-«собачки»,надетого на квадратную часть поворотного болта-зажима шкурки и фиксирующегося в одном из пяти положений.
Стол изготавливается из стального листа толщиной 10 мм и имеет размеры 180×350 мм. Его рабочая поверхность должна быть ровной, по возможности отшлифованной на плоскошлифовальном станке. Стол, шарнирно закреплённый на основании, поднимается и опускается при помощи регулировочного болта, что даёт возможность получать шпон толщиной от 0,3 до 30 мм. Необходимый размер устанавливается по линейке, привинченной к основанию. Линейка градуируется при помощи мерных брусков, зажимаемых между барабаном и столом.
О неплохой производительности станка красноречиво свидетельствует тот факт, что за один проход можно снимать «стружку» толщиной до 1,5 мм.
Дорогостоящие сорта лесоматериалов являются прекрасным сырьем для создания предметов мебели, однако не все люди могут себе позволить такую дорогую продукцию. С целью экономии ценных пород древесины и снижения стоимости конечного продукта и был придуман шпон. Этот материал сегодня крайне популярен для облицовки мебели. Шпон на 100% повторяет узор, текстуру и оттенок натуральной древесины.
Для создания шпона на производствах пользуются специальными станками. Шпон бывает:
- лущеный
- строганый
- пиленый.
Соответственно и станок для производства шпона бывает трех типов.
Лущильный станок для производства шпона
Для реализации лущения шпона сырье необходимо предварительно обработать паром для того, чтобы увеличить пластичность. После этого кряжи подаются на окорочный станок, где с заготовки удаляется кора, а вместе с ней грязь и песок, которые часто становятся причиной быстрого затупления лущильных ножей.
При помощи пилы кряжи раскраивают на чураки определенной длины. Чурак нужно предварительно оцилиндровать, после чего можно приступать к лущению. Лента шпона, которая выходит из лущильного станка, кладется на конвейер, подающий ее к ножницам. Ножницы режут шпон на листы необходимого формата.
По конвейеру шпон укладывается в пачку, которая выносится из-под ножниц и при помощи электрического погрузчика доставляется в сушилку. Сушат продукцию в роликовой сушилке, далее на конвейере его сортируют и складывают по сортам в пачки. Дефектные листы можно склеить.
Если на листах имеются сучки, их отправляют на шпонопочиночный станок, где удаляют изъяны и декорируют их вставками из шпона.
Такой станок для шпона позволяет получить листовой материал толщиной от 1,5 до 5 мм из разнообразных сортов лесоматериалов. На большинстве станков имеется система, которая позволяет в автоматическом режиме устанавливать бревно для последующей обработки.
Чтобы повысить производительность и удобство работы оператора станки оборудуют гидравлическими подъемниками-центроискателями, которые сами определяют подходящую ось вращения заготовки и совмещают ее с осью вращения центровочных валов.
Лущение пропаренной древесины используется для сосновых, ольховых, березовых лесоматериалов. Из лущеного шпона изготавливают фанеру.
Станок для строгания шпона
Прежде всего, кряжи подвергают поперечному раскрою. Во время этой процедуры кряжи распиливают на отрезки необходимой длины. Все отрезки распиливают вдоль, вследствие чего образуется двухкантный брус. Иногда его распиливают пополам. После этого ванчесы подвергают тепловой обработке в пропарочной камере или автоклаве.
Далее ванчесы нужно острогать на шпонострогальном станке. Строганный шпон сушат в роликовых сушилках, торцуют и пакуют в пачки. В каждом наборе составляется конкретный рисунок. Оттенок и узор древесины должны совпадать в каждом наборе.
Именно по этой причине листы шпона, которые получаются из каждого ванчеса во время строгания, складывают, сушат и пакуют в пачки точно в том порядке, в каком они выходили из строгального станка. Когда строгаются одновременно три ванчеса, шпон из каждого из них складывают в три разные пачки.
Укомплектованную, высушенную, запакованную и перетянутую шпагатом пачку шпона называют кнолем.
Станок для изготовления шпона позволяет создать из дорогостоящих сортов лесоматериалов, которые отличаются необычной текстурой, тонкие листы. Такой материал отлично подходит для фанерования. Методы создания шпона:
- радиальный
- тангенциальный
- радиально-тангенциальный
- тангенциально-торцовый.
Наиболее привлекательным сырьем для создания шпона является дубовая древесина. Такой шпон используют для облицовки рустикальных предметов мебели элитного сегмента.
Кроме дубового шпона в специализированных магазинах можно встретить кленовый, буковый, липовый материал, а также из красного дерева.
Станок для сшивки шпона
Шпон режут на специализированных аппаратах. Он отличается довольно тонкой и хрупкой структурой. Для того, чтобы отделать поверхность шпоном, его необходимо соединить между собой для получения полотна, скатываемого в рулоны. Шпон соединяют двумя способами:
Эти методы одинаково популярны на мебельных производствах. Сшивку шпона осуществляют на станке или ручным способом. Для небольших мастерских разработаны ручные устройства для склейки или сшивки шпона. При помощи особого устройства клеевую или термонить разогревают, и в виде зигзага наносят на основную сторону.
Сегодня станки для сшивки шпона представляют собой небольшие аппараты, функционирующие в автономном режиме. Управление такой машиной осуществляет один специалист. Вся работа на них производится четко, качественно и достаточно быстро.
Ручная сшивка встречается все реже, главным образом, в антикварных, реставрационных и авторских мастерских.
Источник: http://wood-prom.ru/clauses/promyshlennoe-oborudovanie/stanok-dlya-shpona
Как делают фанеру: подготовка бревен, оцилиндровка и лущение, нарезка на листы, сушка в прессе, обрезка, сортировка и складирование
Все фото из статьи
Тема этой статьи — изготовление фанеры. Мы познакомимся с полным циклом ее производства — от окорки древесных стволов, до отгрузки готового материала на склад. Кроме того, мы выясним, можно ли производить фанеру в домашних условиях.
Одна из стадий производства — подача бревен в лущильный станок.
Производственный цикл
Он состоит из нескольких этапов:
На некоторых этапах стоит остановиться чуть подробнее.
Подготовка бревен
Из чего делается фанера при полном цикле производства?
- Из стволов хвойных и лиственных деревьев;
- Из связующего — клеев на основе искусственных смол.
Наиболее типичный материал фанеры — сосна и береза. Несколько реже применяются пихта, лиственница, кедр, ель, тополь, ольха, липа, осина и бук.
Обратите внимание: хвойная и лиственная фанера заметно различается механической прочностью и производится по разным ГОСТ — 3919.1-96 и 3919.2-96 соответственно.
Спиленные и лишенные сучьев бревна окоряются (очищаются от коры) и нарезаются вручную или на торцовочном станке на отрезки одинаковой длины. В зимнее время стволы предварительно выдерживаются в ванне с теплой водой для придания замерзшей древесине необходимой пластичности.
Окорка ствола.
Оцилиндровка и лущение
Как правило, эти две операции выполняются на одном станке. Вначале заготовке придается цилиндрическая форма; затем с нее по сужающейся спирали снимается слой древесины толщиной около миллиметра. Оставшийся черенок в производстве не используется.
Нарезка на листы
Она сопровождается сортировкой материала. Дефектные участки листов вырезаются; полосы небольшой (менее 1,5 м) ширины могут быть использованы для склейки в целый лист.
Нарезка шпона на листы и первичная сортировка.
Затем шпон проходит клеевальцы, где он промазывается связующим.
Справка: в производстве фанеры ФК используется карбамидоформальдегидная смола.
Так называемая техническая фанера ФСФ склеивается фенолформальдегидными смолами, что позволяет отнести это производство к категории вредных.
Сушка в прессе
Для сушки листов используется гидравлический пресс с прогревом плит перегретым паром. Типичная температура сушки около 200 градусов. Продолжительность этой части цикла составляет от 30 минут до 2 часов в зависимости от толщины листа.
Сушка осуществляется при интенсивной принудительной вентиляции помещения: как уже говорилось, формальдегиды отнюдь не полезны для здоровья.
Выгрузка из пресса.
Обрезка
Просушенный лист представляет собой неопрятный сэндвич с неровными кромками. Чтобы превратиться в готовое для продажи изделие, он проходит обрезку на распиловочном станке.
Обратите внимание: согласно требованиям ГОСТ, кромки листа должны быть строго перпендикулярны друг другу.
Косина может составлять не более 2 мм на погонный метр.
Сортировка
Качество фанеры определяется визуально и, в зависимости от внешнего вида поверхности, позволяет отнести ее к одному из сортов — от элитного до четвертого.
К основным дефектам относятся:
- Живые и выпадающие сучки;
- Разошедшиеся и неразошедшиеся трещины;
- Здоровые и болезненные изменения цвета.
Цена листа в зависимости от сорта может различаться в два раза и более.
Особо стоит отметить два факта:
- Для материала сорта Е (Элита) недопустимы даже резкие переходы цвета и существенные изменения структуры поверхностного слоя шпона;
Фото позволяет оценить разницу между элитным и прочими сортами.
- Расслоение шпона сразу отправляет лист в брак вне зависимости от сорта.
Складирование
Установленная вертикально или под наклоном фанерная плита способна деформироваться под собственным весом благодаря текучести связывающих слои шпона смол.
Кроме того: ферментация может изменить цвет верхнего слоя на ярком солнечном свету.
Именно поэтому содержащаяся в отечественных стандартах инструкция по складированию листов предписывает хранить их строго определенным образом:
- в закрытом помещении с постоянной влажностью;
- защищенными от прямых солнечных лучей;
- в горизонтальном положении, уложенными на поддоны или подкладки.
Складирование материала.
Особый случай
Чтобы избежать путаницы в терминологии, стоит объяснить одну тонкость. Вопреки названию, перфорированная фанера не имеет к слоистому материалу из шпона никакого отношения.
Так называется лист ХДФ (древесноволокнистая плита высокой плотности, она же — прессованный оргалит) с проделанными в нем через равные промежутки отверстиями. Материал используется при оформлении витрин, в качестве филенок шкафных и внутренних дверей и т.д.
Перфорированный ХДФ.
Очумелые ручки
Может ли обычная фанера производиться в условиях небольшой частной мастерской? По полному циклу — едва ли, слишком габаритное оборудование требуется для распаривания, окорки стволов и лущения шпона. А вот склеивать шпон в готовые листы в домашних условиях вполне возможно.
Зачем это нужно? Например, для производства так называемой инженерной паркетной доски, состоящей из фанеры ФК с наклеенным на нее слоем шпона из древесины твердых пород.
Самый очевидный способ наладить кустарное производство — купить клеевальцы и пресс, благо оборудование для производства фанеры б у вполне доступно по стоимости. Однако если фанера своими руками будет производиться не на продажу, а исключительно ради ремонта в собственном доме, оно просто не окупится.
План «Б» состоит в холодной склейке шпона с готовым фанерным листом:
Оклейка фанеры шпоном благородных пород.
- И уложенный на ровное основание лист, и тыльная сторона шпона промазываются клеем ПВА;
- Шпон укладывается на поверхность листа и разглаживается;
- Заготовка придавливается листом толстой (22 — 27 мм) фанеры и пригружается весом 300 — 400 кг, максимально равномерно распределенным по всей поверхности.
Полная просушка клея займет около суток. По прошествии этого времени лист нарезается на доски нужного размера на обычной стационарной циркулярке. Затем фрезерный станок или ручной фрезер для дерева с направляющей используется для снятия фаски глубиной около миллиметра.
Внешний вид получившегося материала не уступит покупному паркету.
Обратите внимание: по понятным причинам изготовленный таким образом паркет можно укладывать только на клей.
В отсутствие кликовых замков о плавающей укладке речь не идет.
Заключение
Источник: https://rubankom.com/materialy/proizvodnye/fanera/1917-kak-delayut-faneru
Pereosnastka.ru
Конструкция лущильных станков
К
атегория:
Производство клееной фанеры
Конструкция лущильных станков
Лущильные станки по техническим показателям подразделяют:- по наибольшему расстоянию между центрами шпинделей. Это расстояние определяет максимально возможную длину ножа и длину чураков, подлежащих лущению.
Наиболее распространенными являются станки для лущения чураков длиной 1350, 1650, 1950 мм. Длина чурака определяется размерами листов шпона;
По высоте центров шпинделей над станиной.
Высота центров определяется наибольшим радиусом чурака с припуском 100-150 мм.
Отечественные станки рассчитаны на лущение сырья диаметром 60-70 см. Иностранные фирмы выпускают станки для лущения чураков диаметром более 80 см.
Лущильный станок ЛУ-17-4 состоит из следующих основных частей: станины, двух шпиндельных бабок, суппорта кинематического узла, механизма поджима, центровочно-загрузочного приспособления.
Станина станка служит для крепления всех основных частей станка, восприятия динамических нагрузок резания и вспомогательных операций лущения.
Станина представляет собой жесткую сварную раму из двутавровых балок, на которой установлены чугунные шпиндельные бабки. В раме имеется щель для выброса карандаша вниз на транспортер.
Шпиндельные бабки (правая и левая) служат для закрепления чурака и придают ему вращательное движение.
На рис. 2 показан разрез правой шпиндельной бабки. Шпиндельная бабка имеет два телескопических шпинделя с соответствующими кулачками.
Наличие большого кулачка позволяет избежать раскола чураков в начальный период лущения, а малый кулачок дает возможность лущить карандаш диаметром до 70 мм.
Зажимают чурак на станке следующим образом.
Рис. 1. Станок ЛУ-17-4:
1 — станина, 2 — левая шпиндельная бабка, 3 — центровочно-загрузоч-ное приспособление, 4 — сварная балка, 5 — прижимные ролики, 6 — правая шпиндельная бабка, 7 — механизм прижима чурака, 8 — гидропривод, 9 — пустотелый вал, 10 — чугунная балка, 11 — суппорт, 12 — привод ускоренного перемещения суппорта, 13 — электродвигатель, 14 — механизм подачи чураков
Насос подает масло из гидросистемы в распределитель. Поршень под давлением перемещает шток в большом гидроцилиндре на величину до 150 мм. Шток поршня, жестко связанный с подвижным подшипниковым узлом малого шпинделя, перемещается также на длину гидроцилиндра. На подшипниковом узле малого шпинделя закреплен малый шпиндель. Последний, свободно перемещаясь внутри пустотелого большого шпинделя, кулачком зажимает чурак.
Разрез правой шпиндельной бабки станка ЛУ-17-4:
1 — поршень, 2 — большой гидроцилиндр, 3 — шток поршня, 4 — подвижной подшипниковый узел малого шпинделя, 5 — корпус, 6 — шли-цевая втулка, 7- шпонка шестерни, 8 — шестерня, 9- шпонка звездочки, 10 — звездочка, 11 — гнльза, 12-пустотелый большой шпиндель, 13 — малый кулачок, 14 — большой кулачок, 15 — малый шпиндель, 16 — сферические роликовые подшипники, 17 — шлицевая втулка большого шпинделя, 18 — рычаг, 19 — подвижный подшипниковый узел большого шпинделя, 20 — шлицы, 21 — шпонка, 22 — скользящие шпонки, 23-малый гидроцилиндр, 24 — малый поршень со штоком, 25 — шпилька
Масло одновременно поступает в большой и малый гидроцилиндры. Малый поршень со штоком перемещается в сторону чурака и, действуя на рычаг, смещает подвижный подшипниковый узел большого шпинделя. Величина смещения малого поршня со штоком зависит от размера малого гидроцилиндра и составляет 150 мм. Закрепленный в подвижном подшипниковом узле пустотелый большой шпиндель перемещается на указанную величину и зажимает большим кулачком чурак.
Таким образом, два шпинделя одновременно зажимают чурак закрепленными на них кулачками. Работа левого шпинделя аналогична работе правого.
После зажима чураку придают вращательное движение от главного вала через шестерню. Вращающаяся шестерня через шпонку приводит во вращение гильзу, которая с помощью шлицевой втулки 6 вращает пустотелый большой шпиндель. Большой шпиндель через шлицевую втулку большого шпинделя приводит во вращение малый шпиндель.
Скользящие шпонки предохраняют от вращения подвижные подшипниковые узлы; одновременно они являются направляющими при горизонтальном перемещении этих узлов.
В процессе лущения, когда лущильный нож подходит к вращающемуся кулачку большого шпинделя, гидросистема возвращает большой шпиндель в начальное положение. То же происходит, когда лущильный нож приближается к кулачкам малого шпинделя.
Система подвода масла к гидроцилиндрам для возврата шпинделей в исходное положение была показана на рис. 1.
Подключение гидросистемы к шпиндельным бабкам происходит таким образом, что при подаче масла на поршни большого и малого гидроцилиндров эти поршни возвращаются в исходное положение. Благодаря пустотелой конструкции большого шпинделя и шлицевому соединению двух шпинделей достигается их независимое передвижение относительно друг друга в горизонтальной плоскости.
Благодаря применению шпиндельных бабок стало возможным долущивать чурак диаметром до 70 мм на станке ЛУ-17-4, отказавшись от использования на этой операции малых лущильных станков.
Суппорт лущильного станка предназначен для закрепления ножа, его регулировки, настройки и для придания ему возвратно-поступательного движения (к чураку и обратно).
Суппорт состоит из двух боковых ползунов, перемещающихся по горизонтальным съемным параллелям, расположенным на станине станка; ножевой траверсы — для крепления и регулировки лущильного ножа; траверсы прижимной линейки — для крепления и регулировки прижимной линейки станка; двух суппортных винтов, сообщающих суппорту возвратно-поступательное движение.
Суппорт имеет дополнительные верхние и нижние направляющие, с которыми связана ножевая траверса и при помощи которых изменяется угол резания во время лущения чураков. Прижимная линейка соединена с ножевой траверсой эксцентриковым валом.
Механизм поджима чурака устраняет прогиб чурака в конце лущения под действием сил резания.
Этот механизм состоит из чугунной балки, закрепленной на пустотелом валу, двух пар прижимных роликов, гидроцилиндра перемещения роликов, смонтированного на стальной сварной балке, соединяющей обе бабки станка, а также устройства для регулировки синхронности перемещения ножа и прижимных роликов. Блок прижимных роликов шарнирно соединен с балкой и со штоком гидроцилиндра. Цапфы пустотелого вала установлены в подшипниках, корпуса которых прикреплены к бабкам станка.
Кинематический узел станка служит для связи рабочих органов станка (суппорта и шпиндельных бабок) и придания им рабочих движений.
На рис. 3 приведена кинематическая схема лущильного станка ЛУ-17-4. Сцентрированный и зажатый в шпинделях станка чурак (работа центровочно-загрузочного приспособления будет описана ниже) приводится во вращение от главного вала через шестерни. Главный вал соединен с электродвигателем через клиноременную передачу и электромагнитную муфту.
Кинематическая схема лущильного станка ЛУ-17-4:
1 — главный электродвигатель, 2 и 22 — клиноременная передача, 3 — электромагнитная муфта, 4, 5, 6 — шестерни, 7 — главный вал, 8, 9, 10, 16, 17, 18 — звездочки, 11 — промежуточный вал, 12-правый пустотелый вал, 13 — кулачковая муфта, 14 — передаточный вал, 15 — левый пустотелый вал, 19, 20 — конические шестерни, 21 — суппортный вал, 23 — электродвигатель ускоренного подвода и отвода суппорта, 24 — суппортные винты, 25 — поршни гидроцилиндра следящей системы, 26 — пневмоцилиндры центровки чураков, 27 — механизм подачи чураков, 28 — рукоятка переключения ускоренной и рабочей подачи суппорта, 29 — электромагнит; а, б, в, г — сменные шестерни набора толщин шпона
Левый шпиндель приводится во вращение от главного вата также через шестерни. Шестерня, вращая гильзу правого шпинделя, сообщает вращение звездочке. Звездочка втулочно-роликовой цепью соединена с промежуточным валом через звездочку, жестко закрепленную на промежуточном валу.
Вал приводит во вращение правый пустотелый вал через сменные шестерни а, б, в и г. Через кулачковую муфту, посаженную на скользящую шпонку, вращение с пустотелого вала передается на передаточный вал.
Через звездочку, жестко закрепленную на валу, и втулочно-роли-ковую цепь вращение передается на суппортный вал через звездочку.
Система конических шестерен, приводит в движение суппортные винты, а последние — суппорт, который перемещается по направляющим к вращающемуся чураку. Поступательное движение суппорта осуществляется благодаря суппортным гайкам, жестко связанным с корпусом суппорта.
Величина подачи суппорта за один оборот чурака, т. е.
толщина снимаемого шпона, зависит от расположения сменных шестерен а, б, в и г, так как жесткая связь во всех звеньях кинематической схемы, кроме сменных шестерен а, б, в и г, обеспечивает постоянное передаточное отношение.
Из таблицы видно, что изменение толщины шпона от 0,2 до 3,2 мм достигается в основном сменой шестерни а при взаимном расположении блок-шестерен (б — в) в двух положениях.
К концу лущения, когда диаметр чурака будет приближаться к диаметру малого кулачка шпинделя, рабочая подача суппорта прекращается при переводе кулачковой муфты в нейтральное положение рукояткой. Одно-вРеменно электромагнитную муфту выводят из соединения со шкивом клиноременной передачи и вращение карандаша в шпинделях станка прекращается.
С помощью электромагнитной муфты можно останавливать Движение главного вала, не выключая главного электродвигателя, что целесообразно экономически, так как пусковые моменты при включении электродвига-едя отрицательно сказываются на электроснабжении предприятия.
Гидросистема возвращает шпиндели в исходное положение, а карандаш через щель в станине удаляется транспортером из цеха.
Вращением суппортного вала в обратную сторону по отношению к рабочему движению электродвигателя через клиноременную передачу производится возврат суппорта в исходное положение. Суппорт подают в исходное положение на ускоренной подаче, что дает значительный выигрыш во времени. После этого электродвигатель выключают. В таком положении лущильный станок готов для лущения очередного чурака. Далее операция повторяется, как указано выше.
Кроме рабочей подачи, которая обеспечивает получение шпона заданной толщины, лущильный станок имеет ускоренную подачу, которая применяется в начальный период лущения для снятия больших неровностей на чураке.
Включение ускоренной подачи производится муфтой левого пустотелого вала. Вращение вала через муфту передается валу. Далее вращение передается как при рабочей подаче. Вращение вала 15 осуществляется от пала звездочками и втулочно-роликовой цепью.
В этом случае система сменных шестерен а, б, в иг отключена и в работе участия не принимает.
После окончания обдирки (на ускоренной подаче суппорта) передвигают рукояткой кулачковую муфту, тем самым отключая вал и включая вал. Далее происходит процесс лущения на рабочей подаче. Электромагнит служит для автоматического перевода кулачковой муфты в нейтральное положение.
Рис. 4. Схема устройства центровочно-загрузочного приспособления:
1 — свободно вращающаяся ось, 2- пневматический цилиндр, 3 — рычаг, 4 — груз, 5 — верхняя шестерня, 6 — сектор без зубцов, 7 — клещевые захваты, 8 — двухходовой кран, 9 — нижняя шестерня, 10 — зубчатые сектора
Центровочно-загрузочное приспособление служит для правильной центровки чурака, т. е. сокращения отпада шпона в процессе лущения, и для загрузки чурака в лущильный станок.
На лущильных станках устанавливают, как правило, Центровочно-загрузочное приспособление системы А. Жукова, В. П. Банко и А. А. Порохина. Благодаря этому приспособлению стало возможным одновременно выполнять центровку чурака и подачу его к шпинделям лущильного станка.
Центровочно-загрузочное приспособление состоит из Двух пневматических цилиндров, свободно поворачивающихся на осях, прикрепленных к станине лущильного станка. На выступающих ступицах нижних шестерен укреплены рычаги с разрезными хомутами, что позволяет крепить рычаги на ступице в любом положении. Рычаги шарнирно соединены со штоками поршней пневматических цилиндров.
Подъем и центровка чурака осуществляется поворотом рукоятки двухходового крана. При этом сжатый воздух поступает в пневматические цилиндры. При подъеме поршней штоки поворачивают рычаги, которые при помощи шестерен и зубчатых секторов сводят клещевые захваты до соприкосновения их с поверхностью чурака.
Во время зажима чурака шпинделями происходит его осевое перемещение. Неровности чурака могут несколько разводить губки клещевых захватов за счет компрессии воздуха в цилиндрах, не создавая в звеньях механизма дополнительных усилий.
Скорость сжатия клещевых захватов регулируется степенью открытия воздушного крана.
Разведение клещевых захватов осуществляется под действием грузов, закрепленных на концах рычагов, или пружинами, как показано на рис. 19. Повернув рукоятку двухходового крана, открывают отверстие для выхода воздуха.
Приспособление работает при давлении в сети 4- 4,5 ати. Расход воздуха на один лущильный станок составляет 0,7 м3/ч. Верхние и нижние клещи закреплены на валах с помощью сквозных призматических шпонок в соответствующих положениях по отношению к зубчатым секторам.
Регулирование взаимного положения верхних и нижних клещей, обеспечивающее симметричность их движения (от чего зависит точность центровки), осуществляется при помощи особого устройства. Верхние секторы этого устройства двойные. Сектор без зубцов жестко скреплен с осью верхней клешни, а зубчатый сектор сидит на оси свободно и связан с верхней шестерней. Он может смещаться относительно сектора и жестко скрепляться с ним в нужном положении.
Для повышения точности центровки угол вилок доведен до 90°, нижние вилки жестко соединены с клещами, а верхние оставлены свободно вращающимися в пальцах. Для устранения наезда суппорта на клещи (при неполном их разведении) на станке установлена электрическая автоблокировка.
Кроме перечисленных выше основных частей, лущильный станок имеет также механизм подачи чураков, гидропривод, электрооборудование с автоблокировкой.
Лущильный станок был изобретен еще в конце XIX века. Без этого оборудования сегодня просто невозможно представить производство фанеры и изготовление спичек. За прошедшие сто с лишним лет было создано немало конструкций и модификаций станков, но принцип остался прежним: срезание с коротких бревен-чураков тонкой ленты древесины.
Но при многих достоинствах у традиционных лущильных станков есть и серьезные недостатки конструкции, связанные с необходимостью использования кулачков, которые вонзаются в торцы чураков и заставляют их вращаться. Нередко чурак проворачивается в кулачках и дальнейшее лущение становится невозможным. Как правило, это происходит из-за сердцевинной гнили, особенно часто встречающейся в осиновых чураках. В результате получаются так называемые провертыши — чураки большого диаметра, непригодные для дальнейшей обработки на лущильном станке.
Еще один недостаток традиционной техники лущения — потери древесины в виде остатков от лущения, так называемых карандашей. Диаметр «карандаша» зависит от диаметра внутренних кулачков станка и длины чурака. При длине чурака 1,6 м диаметр «карандаша» обычно 75 мм, а при длине 2,5 м — до 100 мм. Потери древесины составляют 10-12% объема чурака.
Рис. 1. Схема бесшпиндельного лущильного станка
Желание избавиться от этих недостатков привело конструкторов оборудования к идее бесшпиндельного лущильного станка. Впервые, вероятно, эта идея была реализована фирмой Raute (Финляндия) еще в 1990-е годы (рис. 1) в станках для лущения чураков максимальным диаметром 400 мм и длиной 1,7 и 2,8 м.
Вращение чураков в станке осуществлялось за счет приводных рифленых роликов, расположенных под углом 120° друг к другу. Верхний валец служил одновременно прижимной линейкой, а нижние перемещались прямолинейно по мере уменьшения диаметра чурака. Каждый валец оснащен индивидуальным гидроприводом. В процессе лущения ножевой суппорт немного поворачивался относительно чурака, что обеспечивало оптимальные параметры лущения чурака до диаметра карандаша 50 мм. Положение валов, толщина шпона и угол резания регулировались микро-ЭВМ. Диаметр чурака измерялся до его подачи в станок для определения просвета между валами.
Технология бесшпиндельного лущения шпона в Европе по какой-то причине не получила развития, но широко распространилась в азиатских странах. В Юго-Восточной Азии на многих предприятиях применяют бесшпиндельное лущение тонкомерного сырья и долущивание карандашей. Обычно лущильная линия состоит из окорочно-оцилиндровочного станка, бесшпиндельного лущильного станка с роторными ножницами.
Рис. 2. Линия лущения шпона RD2800 Raute
В окорочно-оцилиндровочном станке чурак зажимается тремя приводными зубчатыми роликами и приводится во вращение. Нож, аналогичный лущильному, удаляет кору и неровности, придает чураку цилиндрическую форму. Начальный диаметр чурака — до 500 мм, после оцилиндровки — не более 360 мм.
Передающий конвейер выравнивает чураки и подает их на бесшпиндельный лущильный станок, оснащенный тремя приводными роликами с мелкой насечкой и лущильным ножом. Максимальный диаметр чурака — 360 мм. Диаметр карандаша — 30-40 мм в зависимости от модели станка. Толщина получаемого шпона — от 1,0 до 3,0 мм. Линейная скорость лущения — 40 м/мин. После лущения шпон поступает на роторные ножницы, где в автоматическом режиме рубится на форматные листы.
Технология лущения тонкомерных чураков будет интересна российским предприятиям, которым приходится работать в наших непростых условиях. Китайские лущильные станки работают и в России, например на фанерном заводе «ИнвестФорэст» в пгт Суслонгер в Республике Марий Эл, на Уфимском фанерно-плитном комбинате, на заводе «Сатис-Мебель» под Нижним Новгородом.
Последнее предложение фирмы Weihai Hanvy из Китая — линия HVPL1326 с окорочно-оцилиндровочным станком и бесшпиндельным лущильным станком с ЧПУ Siemens HXQ2700 и электроникой от фирмы Scheider. Новый станок для бесшпиндельного лущения предназначен для обработки чураков длиной 2,6 м и максимальным диаметром 500 мм. Диаметр карандаша — 40 мм, скорость лущения — 40-100 м/мин. В станке предусмотрено изменение угла наклона ножа в ходе лущения, пневматическое крепление инструмента и автоматическое регулирование толщины шпона.
Рис. 3. Бесшпиндельный лущильный станок D1700 G26 и схема его работы
Фирма Raute не оставила идею создания бесшпиндельного лущильного станка и разработала линии RD1400, RD1700 (рис. 3) и RD2800, в составе каждой из которых четыре агрегата с необходимыми транспортным связями: окорочно-оцилиндровочный станок, лущильный станок, роторные ножницы и вакуумный укладчик шпона (рис. 2).
Сырье (чураки заданной длины) подается на поперечный конвейер с дозирующими упорами. В процессе окорки и оцилиндровки чураки приобретают необходимую для лущения цилиндрическую форму и передаются на лущильный станок при помощи еще одного поперечного конвейера.
Рис. 4. Схема зоны лущения с прижимным роликом
Кинематическая схема станка претерпела принципиальные изменения в сравнении с предыдущими моделями. Чурак подается в станок сверху, затем поджимается к двум приводным роликам с мелкой насечкой, которые установлены на едином суппорте. В окорочно-оцилиндровочном станке подача роликового суппорта гидравлическая, а в лущильном станке — электромеханическая. Третий ролик находится на неподвижном суппорте с лущильным ножом и играет роль прижимной линейки (рис. 4).
Чурак в станке самоцентрируется по трем точкам. При подаче роликового суппорта вперед чурак поджимается к ножевому суппорту, и выполняется лущение шпона. Толщина шпона задается с пульта управления установкой зазора между ножом и прижимным роликом, в ходе лущения угол резания автоматически меняется для обеспечения оптимальных параметров лущения (рис. 5).
В цепочке за лущильным станком установлены роторные ножницы для рубки шпона. Они подрубают передний край ленты шпона, разделяя форматный шпон и отходы. Передняя кромка листа шпона распознается при помощи фотоэлементов. Далее прохождение шпона по цепочке контролируется с помощью импульсного кодирующего устройства. Рубка выполняется при вращении ножа, расположенного над нижним резиновым роликом. На ножевом вале установлены три ножа. Автономный датчик системы распознавания контролирует пуск и остановку рубки шпона.
Рис. 5. Изменение угла резания в ходе лущения чурака
За ножницами расположен выходной конвейер с типпельным устройством для отсекания от потока кусков и неформатного шпона. Распознавание осуществляется при помощи фотоэлементов. Далее прохождение шпона по линии контролируется с помощью импульсного кодирующего устройства.
На ножевом валу установлены три ножа. Рубка шпона выполняется при вращении ножа, расположенного над нижним резиновым роликом. Автономный датчик системы распознавания контролирует пуск и остановку процесса рубки шпона.
После ножниц расположен выходной конвейер с типпельным устройством для отсекания кусков и неформатного шпона от потока. Распознавание осуществляется при помощи фотоэлементов, установленных перед типпелем. Форматные листы шпона укладываются стопоукладчиком на подъемник (в базовой модели могут быть один или два подъемника). Управление высотой укладки контролируется фотоэлементом. Полная стопа шпона выкатывается из стопоукладчика при помощи неприводного рольганга. Под линией находится поперечный конвейер необходимой длины для удаления отходов.
Линия RauteLite предназначена для лущения чураков из мягких и твердых пород древесины длиной 3/4/5/6/8 футов (0,9-2,4 м) и диаметром 120-350 мм. После оцилиндровки диаметр чурака может быть 80-300 мм, диаметр карандаша — 30-35 мм. На линии можно получать качественный шпон толщиной 1,2-2,2 мм c разнотолщинностью ±0,1 миллиметра.
Особо следует отметить, что в состав линии лущения входит система OPG (Optimum Peeling Geometry), с помощью которой посредством сервоконтроля достигается синхронизация скорости подачи роликов, изменение величины зазора между ножом и прижимным роликом, изменение заднего угла ножа в процессе лущения. Эта система осуществляет тотальный контроль всех параметров процесса — с момента начала лущения до удаления карандаша, что позволяет обеспечить высокую стабильность толщины шпона.
Подобные линии вряд ли полностью заменят традиционные лущильные станки, но могут занять свою нишу в линейке оборудования для производства лущеного шпона из маломерного сырья и долущивания карандашей. По расчетам автора, уменьшение диаметра карандаша с 75 до 35 мм позволяет увеличить выход шпона на 7,6% (при среднем диаметре чурака 240 мм), поэтому у подобной техники хорошие перспективы при долущивании карандашей и провертышей.
При выполнении этой задачи в линию уже не нужно включать окорочно-лущильный станок. Именно такую укороченную линию фирма Raute поставила на комбинат «СВЕЗА Кострома», в конце 2017 года линия была пущена.
Владимир ВОЛЫНСКИЙ
Шпонирование деревянной основы, еще называют фанерованием. Шпонирование, как собственно говоря, фанерование, подразумевает под собой приклеивание тонких пластин дерева, шпона, на деревянную основу. Основа это столы, двери, шкафы, стены и прочие деревянные поверхности. Более подробно, о том, какие виды фанерования существуют, зачем это делать и как производить шпонирование своими руками, расскажем в статье.
Для чего шпонируют
мебель
Шпон — это тонкая
пластина древесины, как правило, ценных
пород. Используют шпон, для того, чтобы
обычное, недорогое дерево, стало по всем
внешним признакам, ценной, дорогой
породой.
Вследствие этого, цена на шпонированную мебель, в разы ниже, чем на массив дерева ценных пород. А внешний вид практически ничем не уступает второму.
Кроме выгоды в
стоимости, использование шпона, дает
широкие возможности для дизайна. Им же
можно обклеить старую мебель, тем самым
вдохнуть в нее вторую жизнь.
Какие бывают виды
шпонирования
Основными видами
шпонирования или фанерования, являются
три вида. А именно, горячее, холодное и
мембранное шпонирование.
Самым доступным методом, для домашнего использования, является метод горячего шпонирования. Тут шпон приклеивается к основе клеящим составом.
Остальные
два вида шпонирования -холодное и
мембранное, требует специальных станков
и других производственных мощностей.
Так, холодное шпонирование это прессование
шпона к основе. Для этого используются
прессовальные аппараты или винтовые
ваймы.
Мембранное шпонирование производится на сложных рельефных поверхностях. И базируется на вакуумном соединении гладких и рельефных плит и шпона
Процесс шпонирования
своими руками
Как мы уже говорили
ранее, самым доступным способом, для
домашнего использования, является
горячее фанерование. Для работы вам
понадобятся следующие основные материалы
и инструменты из списка:
- Основа для шпонирования
- Шпон из дерева
- Нож фанерный
- ПВА клей
- Чистый лист бумаги
- Валик или деревянный брусок, для затирки шпона
- Наждачка
- Утюг, чем тяжелее, тем лучше
- Резак
Подготовительные
работы
Прежде, чем
приступить к шпонированию, нужно, в
первую очередь, подготовить шпон. Шпон
натурального происхождения, часто
скручивают в рулон. Шпон, также может
быть покоробленным и так далее.
Чтобы придать шпону правильное положение, смочите его увлажненной водой, губкой, и положите между двумя листами фанеры. А чтобы ушла лишняя влага, проложите между фанерой и шпоном, с обеих сторон шпона, упаковочную бумагу.
Чаще всего, для
отделки мебели применяют строганный
шпон. Это узкие, но длинные листы. Ширина
строганного шпона, как правило, не шире
30 сантиметров.
Поэтому, после выравнивания и удаления лишней влаги с поверхности шпона, нарезаем листы, необходимой длины. Если, для примера, вы хотите обклеить стол, то шпон должен слегка выступать ха края основы. Лишнее, по окончании процесса шпонирования, можно будет срезать или зашкурить.
Кстати, не режьте
шпон ножом или ножницами. Шпон может
растрескаться и режется от неровно
этими приспособлениями. Для резки шпона
используйте фанерный нож или строгальный
станок.
Склеивание шпона
и основы
Клей ПВА наносим на шпон и на основу. На основе промазываем участок основы. Лучше всего, клеем промазывать дважды. Первый слой клея сушим почти до полного высыхания, чтобы клей практически перестал липнуть. Второй слой просушиваем до отлипа.
Следующим этапом, разогреваем утюг до 50 градусов. Это, примерно, средняя температура на утюга. И через лист белой бумаги утюжим шпон. После прохода утюгом, сразу же начинаем притирать валиком или бруском, шпон и основу.






















































